5.48M
Категория:
Математика
Похожие презентации:
Степенная функция. Свойства степенной функции
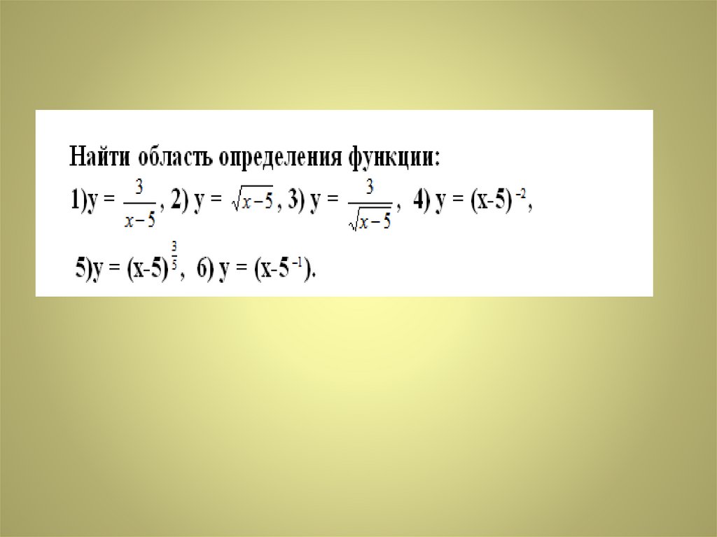
Степенная функция
Степенная функция
Степенная функция
Степенная функция
Степенная функция
Степенная функция
Степенная функция
Степенная функция
Степенная функция
Степенная функция
1.
English
Русский
Правила