0.98M
Категория: МатематикаМатематика

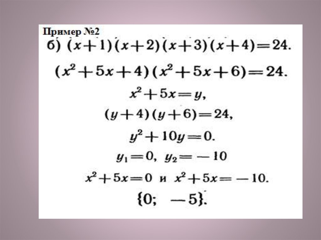
Уравнения высших степеней, приводимые к виду квадратного уравнения. Алгоритм решения уравнений методом введения новой переменной

1.

Уравнения высших
степеней, приводимые к
виду квадратного
уравнения

2.

Алгоритм решения уравнений методом
введения новой переменной:

3.

4.

:
• Уравнение n-ой степени с одной
переменной, в котором коэффициенты
равноудаленных от концов членов равны,
называется симметрически уравнением.

5.

Алгоритм решения симметрического уравнения
четвертой степени :

6.

Работа с учебником


7.

Задания
Индивидуальная работа

8.

Домашнее задание
§34 №34.6(3) №34.9 (2,4)
English     Русский Правила