Тригонометрические неравенства
3.04M
Категория: МатематикаМатематика

Тригонометрические неравенства

1. Тригонометрические неравенства

Вопросы:
1. Простейшие тригонометрические неравенства.
2. Методы решения тригонометрических неравенств.

2.

Тригонометрическими называются неравенства, в
которых переменная является аргументом тригонометрической
функции.
Простейшие тригонометрические неравенства:
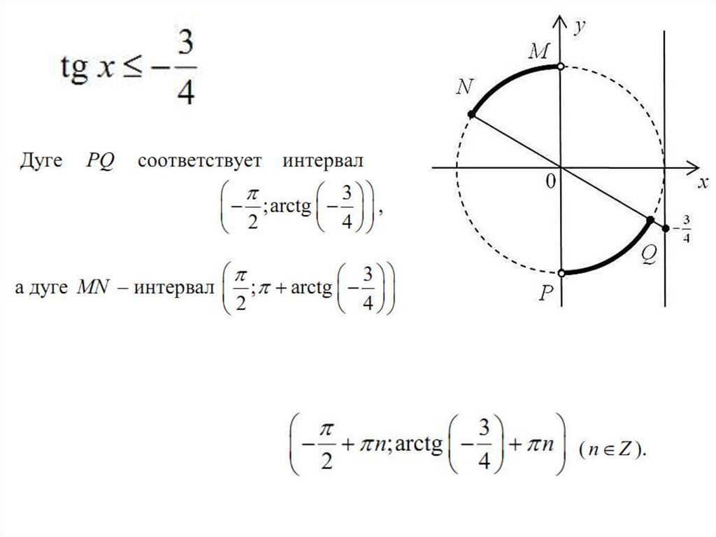
sinx > a, cosx > a, tgx > a, ctgx >a (<, , )
Способы решения простейших тригонометрических
неравенств:
1. с использованием тригонометрической окружности;
2. с использованием графиков тригонометрических функций.

3.

sin x a

4.

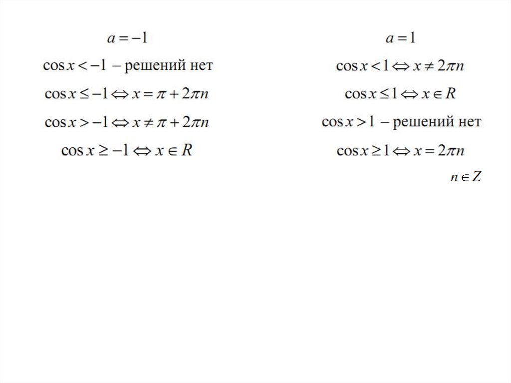
a 1 нет решений
a 1
sin x a
x 2 n , n
2
а ≤ -1
-1< а < 1 x arcsin a 2 n ; arcsin a 2 n , n

5.

6.

7.

8.

9.

-1< а < 1

10.

-1< а < 1
a 1
a 1
а ≤ -1
x 2 n , n
2
нет решений

11.

12.

13.

14.

15.

16.

17.

18.

19.

20.

21.

22.

23.

24.

25.

26.

27.

28.

29.

30.

31.

32.

33.

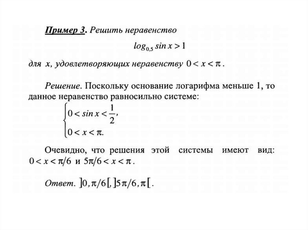
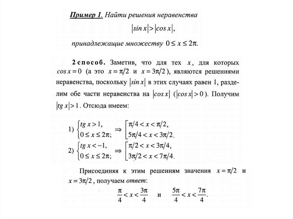
Методы решения тригонометрических неравенств

34.

Методы решения тригонометрических неравенств

35.

Методы решения тригонометрических неравенств

36.

Методы решения тригонометрических неравенств

37.

Методы решения тригонометрических неравенств

38.

Методы решения тригонометрических неравенств

39.

40.

41.

Методы решения тригонометрических неравенств

42.

43.

Методы решения тригонометрических неравенств

44.

Методы решения тригонометрических неравенств

45.

Методы решения тригонометрических неравенств

46.

47.

Методы решения тригонометрических неравенств

48.

49.

50.

51.

52.

Методы решения тригонометрических неравенств

53.

54.

55.

2) Область определения х є R.
Найдем нули:

56.

2) Область определения х є R.
Найдем нули:

57.

Найдем нули на промежутке от 0 до 2 и отметим их
на тригонометрической окружности:

58.

Найдем нули на промежутке от 0 до 2 и отметим их
на тригонометрической окружности:
2cos /3∙cos /6 > 0
Проставляем знаки на
полученных промежутках,
учитывая знакопеременность.
Записываем решение
неравенства согласно его знаку и
с учётом периодичности
функции.

59.

60.

Методы решения тригонометрических неравенств

61.

62.

Методы решения тригонометрических неравенств
English     Русский Правила