What is the vector?
Addition of vectors
Scalar multiplication
What is the Linear Combination?
Linear combinations
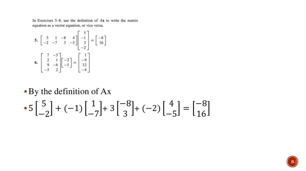
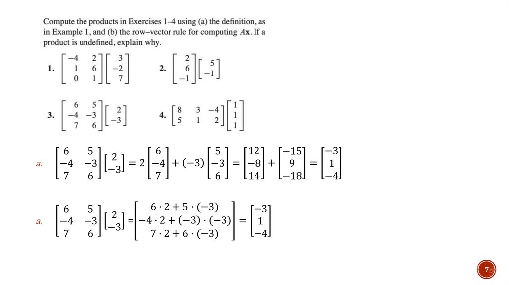
The matrix equation ax=b
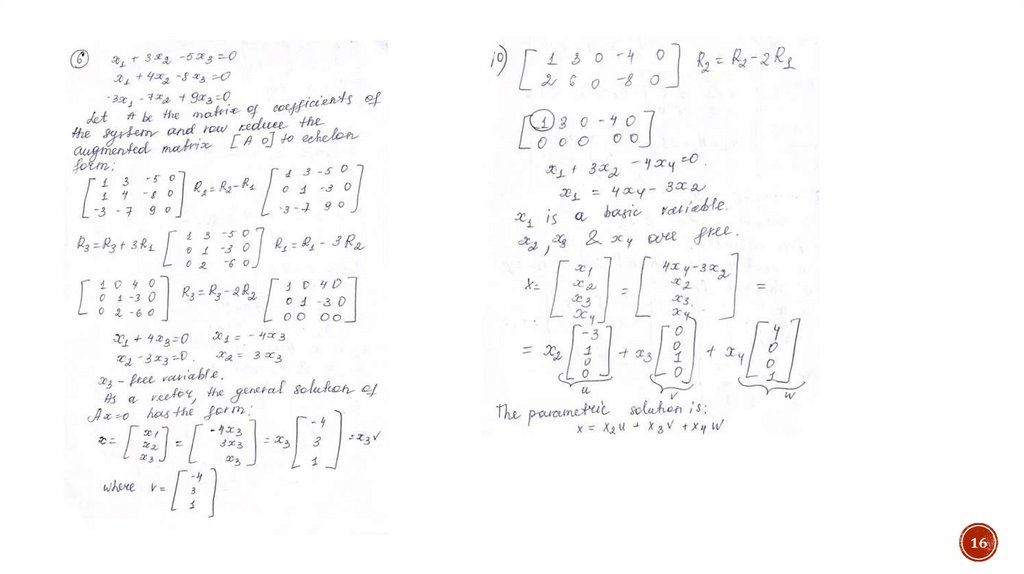
Solution Sets of Linear Systems
7.36M
Категория: МатематикаМатематика

What is the vector?

1. What is the vector?

1

2. Addition of vectors

Additional of vectors is done pointwise
(corresponding entries)
7
2
5
+
=
10
3
7
2

3. Scalar multiplication

We can multiply a scalar by a vector.
The scalar multiplies each entry.
5⋅5
25
5

=
=
5⋅7
35
7
3

4. What is the Linear Combination?

Given vectors
English     Русский Правила