10.38M
Категория: ФизикаФизика

Вывод и решение дифференциального уравнения вертикальных колебаний фундамента

1.

Вывод и решение
дифференциального уравнения
вертикальных колебаний
фундамента

2.

1) при произвольно изменяющейся нагрузке P (t)
(без учета затуханий)
при z > 0 получим
R m g Kz z

3.

Для составления уравнения движения используется
принцип Даламбера:
«Уравнение движения может быть получено как уравнение движения в статике, если к внешним силам, действующих на систему, добавить силу инерции с обратным знаком по отношению направления движения».

4.

Q P(t ) m z // R,
m z // Q P(t ) R 0,
т.к R m g K z z
m z Q P(t ) m g K z z 0,
//
m z // K z z P(t ),

5.

Kz
P(t)
z
z
,
m
m
//
2z
2 Kz
z
m
P(t)
z z
.
m
//
2
z

6.

2) при нагрузке P (t) = 0
(свободные колебания)
z z 0
//
2
z
Решение данного уравнения:
z A sin z t B cos z t ,
где А и В – произвольные коэффициенты (получены из
начальных условий).

7.

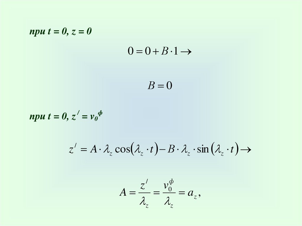
при t = 0, z = 0
0 0 В 1
В 0
при t = 0, z / = v0ф
z / A z cos z t В z sin z t
A
z/
z
v0ф
z
az ,

8.

где v0ф – скорость перемещения фундамента и машины
после удара.

9.

1 m0 v0
v
ф
0
m0 m
1 m0 v0
az
,
m0 m z
так как m0 m,
1 m0 v0
a
,
z
m z
(используется при расчете фундамента под молот)

10.

где m0 – масса ударной части;
m – масса фундамента и машины;
v0 – скорость ударной части в момент соударения;
ε
– коэффициент восстановления удара;
λz – частота свободных (собственных) колебаний.

11.

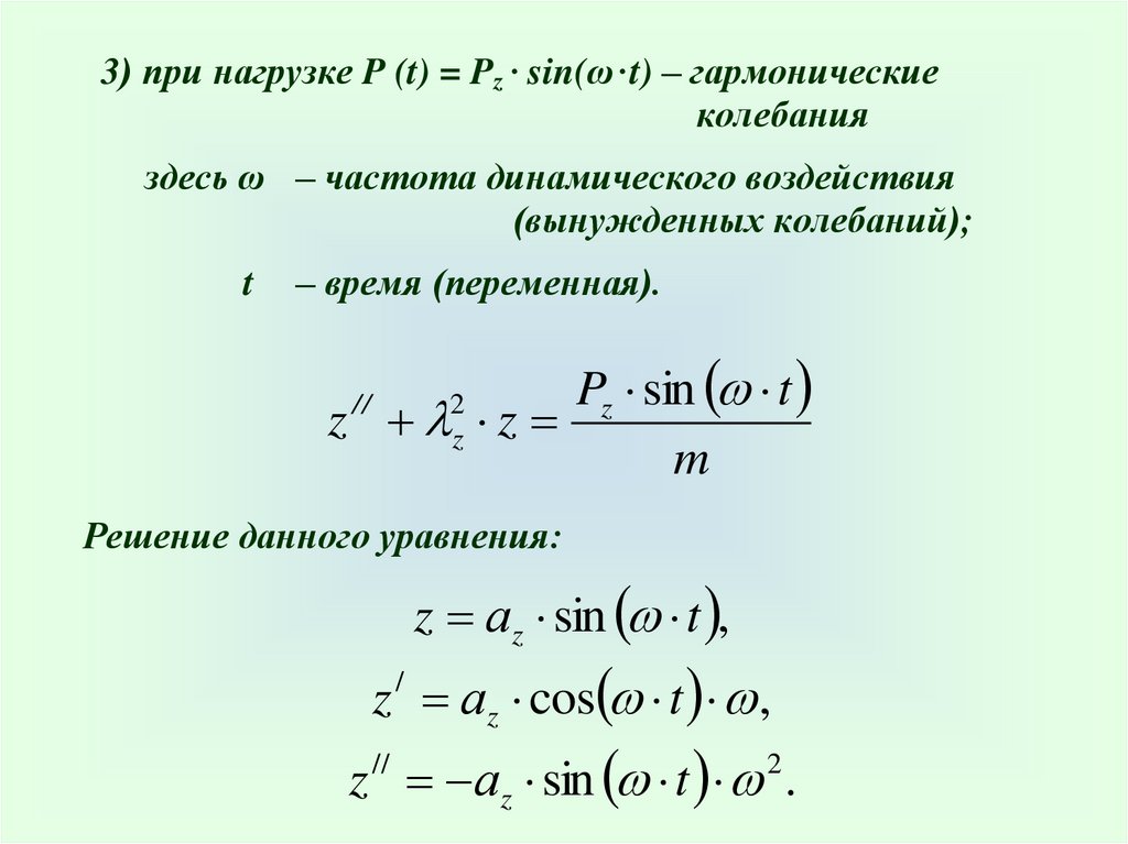
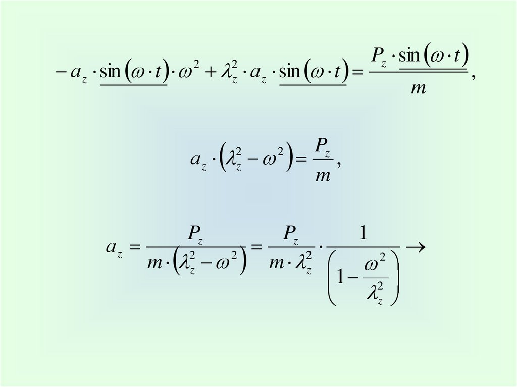
3) при нагрузке P (t) = Pz · sin(ω · t) – гармонические
колебания
здесь ω – частота динамического воздействия
(вынужденных колебаний);
t
– время (переменная).
Pz sin t
z z
m
//
2
z
Решение данного уравнения:
z аz sin t ,
z / аz cos t ,
z // аz sin t 2 .

12.

а z sin t а z sin t
2
2
z
Pz sin t
m
Pz
аz ,
m
2
z
2
Pz
Pz
1
аz
2
2
2
2
m z
m z
1 2
z
,

13.

1
1 2
z
2
Pz
аz
аст ,
Kz
где η – коэффициент динамичности системы.

14.

2
2z
при ω = 0
η = 1;
при ω = λ z
η = ∞ (резонанс).

15.

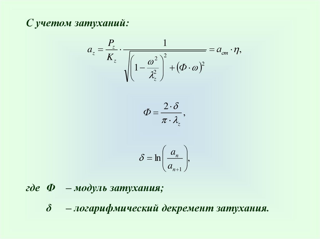
С учетом затуханий:
az
Pz
1
аст ,
2
Kz 2
1 2 Ф 2
z
2
Ф
,
z
an
,
ln
an 1
где Ф
δ
– модуль затухания;
– логарифмический декремент затухания.

16.

17.

2
2z
при ω = 0
η = 1;
при ω = λ z
η = ηmax;
при ω = λ z и Ф=0
η = ∞ (резонанс).

18.

Упругие
характеристики грунтов
и методы их определения

19.

Упругие характеристик грунтов:
Е – модуль упругости;
G – модуль сдвига (Юнга);
υ – коэффициент Пуассона.

20.

Методы определения характеристик:
1) по таблицам;
2) динамические методы;
3) статические методы.
экспериментальные

21.

К динамическим методам относятся:
1) вынужденные колебания натурных фундаментов
или их моделей

22.

Pz
a z m 2 2 ;
z
2 K z ;
z m
Kz
Pz
2 m;
az
Kz
Cz
A

23.

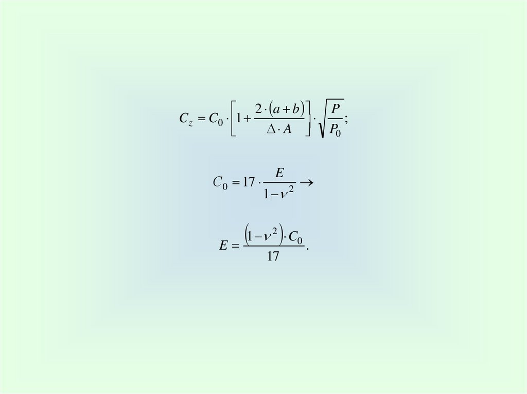
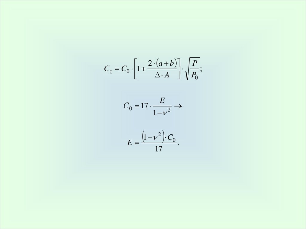
2 a b P
C z C0 1
;
A P0
С0 17
E
1
2
1 C .
E
2
0
17

24.

2) свободные колебания натурных фундаментов или их
моделей

25.

2
z
,
T
где λz – свободная частота колебаний фундамента;
Т – период колебаний.

26.

Kz
;
m
2
z
K z 2z m;
Cz
Kz
A

27.

2 a b P
C z C0 1
;
A P0
С0 17
E
1
2
1 C .
E
2
0
17

28.

Описанные выше методы используются, если на площадке имеются построенные фундаменты и возможность возбуждения колебаний.

29.

3) при помощи упругих волн, распространенных в грунтах

30.

Запись колебаний

31.

При ударе (взрыве) в грунте возникают:
– продольные волны со скорость С1
(волны уплотнения, Р-волны);
– поперечные волны со скоростью С2
(волны сдвига, S-волны);
– плоские волны со скоростью, практически совпадающей со скоростью поперечных волн
(волны Релея).

32.

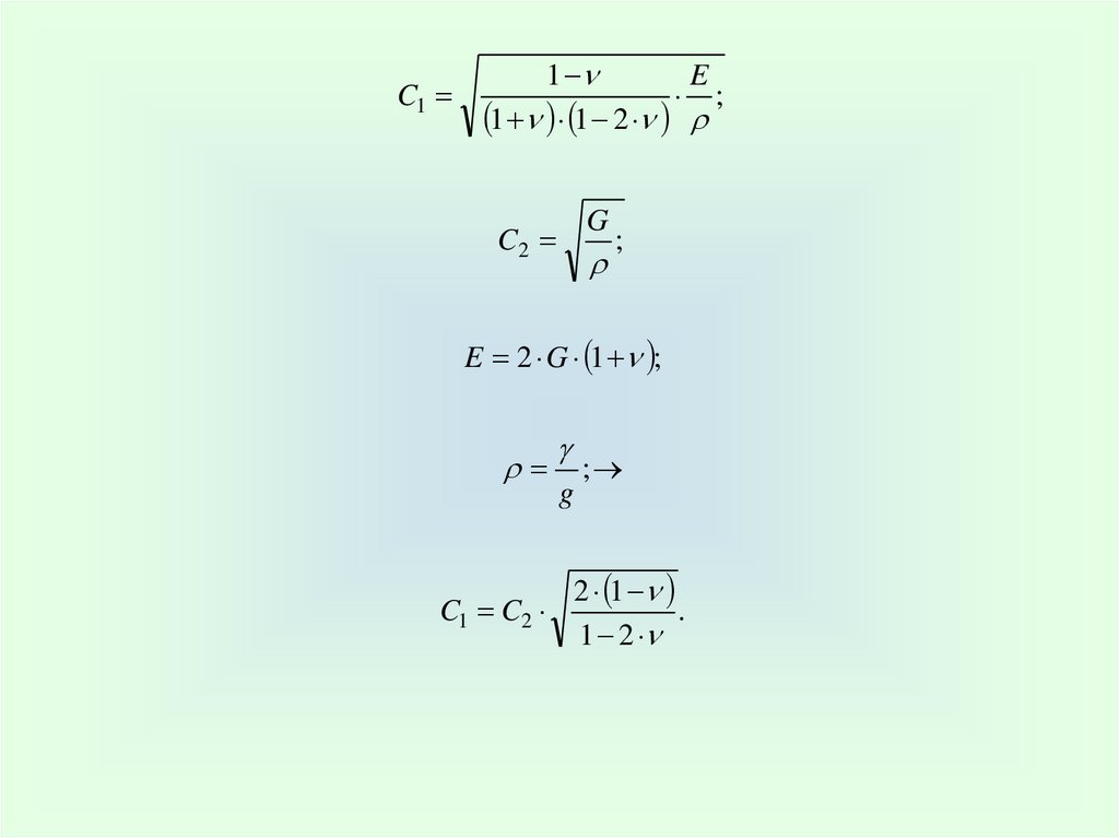
C1
1
E
;
1 1 2
G
C2
;
E 2 G 1 ;
C1 C2
g
;
2 1
.
1 2

33.

l
C1 ,
tx
l
C2 .
ty
Например, в супесях:
С1 = 250 ÷ 300 м/сек;
С2 = 120 ÷ 150 м/сек;
Е = 76 ÷ 102 МПа;
G = 29 ÷ 40 МПа;
υ = 0,32 ÷ 0,34.

34.

4) с помощью ультразвукового прозвучивания в лаборатории

35.

l
C ;
t
C G E,

36.

К статическим методам относятся:
1) при помощи штампа
1 – штамп; 2 – гидравлический домкрат; 3 – индикаторная установка; 4 – продольная упорная балка; 5 –
винтовые анкерные сваи

37.

1
E
P d
2

z

38.

2) в компрессионных приборах
Sу – равна упругому отпору после многократного циклического загружения.

39.

z
Pz
z

h

40.

Закон Гука:
x y
z
E
E
z
Pz 2 2
E 1
,
z 1
с учетом
x y Pz
1
Pz .

41.


п/п
Наименование методов
Ei
Е с,к
1.
По частоте свободных колебаний
1
2.
По скорости распространения упругих
волн
0,95
3.
По результатам испытаний штампом
0,90
4.
По результатам компрессионных
испытаний
0,86
5.
Табличный
0,5 ÷ 1,1
English     Русский Правила