Стереометрия
1.57M
Категория: МатематикаМатематика

23-1-метод координат С2!

1. Стереометрия

Метод координат в
задачах С2

2.

Угол между прямыми
р - направляющий вектор прямой а
а
р
q - направляющий вектор прямой b
- угол между прямыми
q
b
p x1 ; y1 ; z1
р
q
cos =
q x2 ; y2 ; z2
| x1 x2 + y1 y2 + z1 z 2 |
x +y +z x +y +z
2
1
2
1
2
1
2
2
2
2
2
2

3.

Задача 1 В единичном кубе A...D1 найдите угол
между прямыми AE и BF, где Е – середина
ребра А1В1 , а F – середина ребра B1С1
А1
K
К - середина A1D1
B1 F
Е
D
А
Решение (1 способ)
С1
D1
AK || BF
С
KAE
5
AE AK
2
2
KE
2
По теореме косинусов для
B
AKE
KE AE AK 2 AE AK cos
cos 0,8
arccos 0,8
2
2
2

4.

z
Решение (2 способ)
А
1
А(1;0;0)
Е (1; ;1)
B1 F
2
1
В(1;1;0)
F ( ;1;1)
2
С
1
1
y АЕ 0; ;1
BF ;0;1
2
2
B
cos =
1 1
| 0 0 1 1 |
2 2
С1
D1
А1
Е
D
x
2
2
1
1
2
2
2
0 1 0 1
2
2
2
0,8

5.

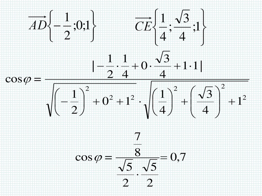
Задача 2 В правильной треугольной призме ABCA1B1C1
все ребра которой равны 1, найдите косинус угла между
прямыми AD и CE, где D и E - соответственно
середины ребер A1C1 и B1C1
z С
С
1
E
D
А1
А
1
3
2
B
1
y
B
x
y
1
2
B1
С
Решение.
А
x

6.

Координаты правильной треугольной
призмы
z С (0;0;1)
1
1 3
B1 ( ; ;1)
2 2
А1 (1;0;1)
С (0;0;0)
y
x
А(1;0;0)
1 3
B( ; ;0)
2 2

7.

Решение.
1
D( ;0;1)
2
z С1 (0;0;1)
1 3
Е ( ; ;1)
4 4
1 3
B1 ( ; ;1)
2 2
А1 (1;0;1)
С (0;0;0)
y
x
А(1;0;0)
1 3
B( ; ;0)
2 2
1
АD ;0;1
2
1 3
СЕ ;
;1
4 4

8.

1
АD ;0;1
2
cos =
1 3
СЕ ;
;1
4 4
1 1
3
| 0
1 1 |
2 4
4
2
1
1 3
2
2
2
1
0 1
2
4 4
2
cos =
2
7
8
5
5
2
2
0,7

9.

Задача 3 В правильной шестиугольной призме A...F1
все ребра которой равны 1, найдите косинус угла между
прямыми AB1 и BD1
Решение.
z
F1
Е
D1
E1
А1
E
F
x
А
B
1
1
2
F
D
D
y
С1
B1
1
С
3
2
1
С
3
2
y
А
x
В

10.

Координаты правильной шестиугольной
призмы
D
(
0
;
1
;
1
)
E
(
0
;
0
;
1
)
1
1
z
F1
E1
А1
D1
B1
Е
x
С1
D
y
F
А
В
С
А1 ( 3;0;1)
3 3
С1 ( ; ;1)
2 2
B1 ( 3;1;1)
E (0;0;0)
D(0;1;0)
3 1
F1 ( ; ;1)
2 2
3 3
3 1
F ( ; ;0) С ( ; ;0)
2 2
2 2
А( 3;0;0)
B ( 3;1;0)

11.

Решение.
z
F1
D1
E1
А1
С1
B1
E
С
| 0 ( 3 ) 1 0 1 1 |
1
0 1 1
2
y
ВD1 3;0;1
B
cos =
D1 (0;1;1)
F
x
B1 ( 3;1;1)
АВ1 0;1;1
D
А
А( 3;0;0)
B ( 3;1;0)
2
2
3 0 1
2
2
2
2 2

12.

Задача 4 В правильной четырехугольной пирамиде
SABCD, все ребра которой равны 1, отмечены точки Е и
F – середины сторон SB и SC соответственно. Найдите
угол между прямыми AE и BF.
z
Решение.
S
F
E
D
О
x
А
В
AC 12 12 2
2
С

2
y
2
2
2
2
SO 1
2
2

13.

Координаты правильной четырехугольной
пирамиды
z
D (0;0;0)
1 1 2
S( ; ;
)
2 2 2
С (0;1;0)
y
x А(1;0;0)
В(1;1;0)

14.

z
D
1 1 2
S( ; ;
)
2 2 2
F
E
С (0;1;0)
y
x
А(1;0;0)
В(1;1;0)
1 3 2
АE ; ;
4 4 4
Решение.
Е- середина SB
3 3 2
Е( ; ;
)
4 4 4
F- середина SC
1 3 2
F( ; ;
)
4 4 4
3 1 2
BF ; ;
4 4 4

15.

1 3 2
АE ; ;
4 4 4
cos =
3 1 2
BF ; ;
4 4 4
1 3 3 1
2 2
|
|
4 4 4 4 4 4
2
1 3 2
3 1 2
4 4 4
4 4 4
2
2
1
cos
6
2
2
1
arccos
6
2

16.

Угол между прямой и плоскостью
р х1; у1; z1 - направляющий вектор прямой
n x2 ; у2 ; z2 - нормальный вектор плоскости
а
n
n
р
sin
| x1 x2 y1 y2 z1 z 2 |
x y z x y z
2
1
2
1
2
1
2
2
2
2
2
2

17.

Задача 5 В правильной четырехугольной пирамиде
SABCD , все ребра которой равны 1, найдите угол
между прямой DE, где Е- середина апофемы SF грани
ASB и плоскостью ASC
Решение.
z
S(0;0;
1
4
О
1
2
1
2
x
ОВ - вектор нормали плоскости ASC
Е(0; ;
С
D( ; ;0)
ОВ ASC
2
)
2
2
) 1 1
4 В( ; ;0)
2 2
1
F(0; ;0)
2
А
DE - направляющий вектор прямой
y
1 1
ОВ ; ;0
2 2
1 3 2
DE ; ;
2 4 4

18.

1 1
ОВ ; ;0 - вектор нормали плоскости ASC
2 2
1 3 2
DE ; ;
- направляющий вектор прямой DE
2 4 4
sin
2
1 1 1 3
| 0
|
4
2 2 2 4
1 1
1 3 2
2
0
2
2
2
4
4
2
5
8
2
5
sin
2 15
30
2
4
2
2
5
arcsin
30
2

19.

Уравнение плоскости, проходящей через
данную точку перпендикулярно данному
вектору
n{a; b; c}
А( x0 ; у0 ; z0 )
В ( x; y; z )
n
n{a; b; c}-нормальный
вектор плоскости
А( x0 ; у0 ; z0 )
В( x; y; z )
АB x x0 ; y y0 ; z z0
n АB 0
a( x x0 ) b( y y 0 ) c( z z0 ) 0
ax by cz d 0
, где d (ax0 by0 cz0 )

20.

Уравнение плоскости
a( x x0 ) b( y y 0 ) c( z z0 ) 0
ax by cz d 0 , где d (ax0 by0 cz0 )
Если плоскость проходит через начало координат, то d=0
z
С
Если плоскость пересекает оси
координат в точках А, В, С, то
В
x
А
y
x y z
1
A B C
уравнение плоскости в отрезках

21.

Задача 6 Составить уравнение плоскости,
проходящей через точки А(-2;3;5), В(4;-3;0), С(0;6;-5)
и найти координаты вектора нормали.
ax by cz d 0
2a 3b 5c d 0
4a 3b d 0
6b 5c d 0
d 5c 6b
2a 3b 10c 0
4a 9b 5c 0
Решение.
5
5
a c, b c, d 5c
2
3
5
5
cx cy cz 5c 0
2
3
15 x 10 y 6 z 30 0
n{15;10;6}

22.

Расстояние от точки до плоскости
M ( x0 ; у0 ; z0 )
n{a; b; c}
(M , )
| ax0 by0 cz0 d |
a b c
2
2
2

23.

Расстояние между
параллельными плоскостями
ax by cz d1 0
ax by cz d2 0
( , )
| d 2 d1 |
a b c
2
2
2

24.

Задача 7 В правильной четырехугольной пирамиде
SABCD, все ребра которой равны 1, найдите расстояние
от середины ребра ВС до плоскости SCD
Решение.
z
S
y
y
А
D
В
M
С
x
А
О
2
D (0;
;0)
2
2
2
С(
;0;0)
В (0;
;0)
2
2
2
2
М(
;
;0)
4
4
x

25.

z
Решение.
2
S (0;0;
)
2
(M , )
| ax0 by0 cz0 d |
a 2 b2 c2
y
А
В
2
D (0;
;0)
2
2
С(
;0;0)
2
2
2
M(
;
;0)
x
4
4
x
y
z
1
2
2
2
2
2
2
2x 2 y 2z 1 0
2
2
2 0 1|
| 2
2
4
4
1
( M , SCD)
2
2
2
6
2 2 2

26.

Угол между плоскостями
: a1x b1 y c1z d1 0
Вектор нормали плоскости : n1{a1 ; b1 ; c1}
: a2 x b2 y c2 z d2 0
Вектор нормали плоскости : n2 {a2 ; b2 ; c2 }
cos
| a1 a2 b1 b2 c1 c2 |
a1 b1 c1 a2 b2 c2
2
2
2
2
2
2

27.

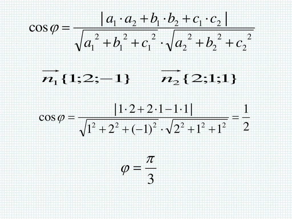
Задача 8 В единичном кубе A...D1 найдите угол
между плоскостями AD1 E и D1FC , где Е – середина
ребра А1В1 , а F – середина ребра B1С1
Решение.
z
Е
А1
B1
A(0;0;0)
С1
B
А
D
x
С
D1 (1;0;1)
ax by cz d 0
F
D1
1
Е (0; ;1)
2
y
d 0
a c d 0
1
b c d 0
2
Уравнение плоскости AD1E :
Вектор нормали плоскости AD1E :
с а
b 2a
ax 2ay az 0
x 2y z 0
n1{1;2; 1}

28.

z
Е
А1
D1 (1;0;1)
B1
С1
B
А
D
x
С (1;1;0)
ax by cz d 0
F
D1
1
F ( ;1;1)
2
а с d 0
1
a b c d 0
2
a b d 0
y
С
a 2c
b c
d 3c
2cx cy cz 3c 0
Уравнение плоскости
D1FC : 2 x y z 3 0
Вектор нормали плоскости
D1FC : n2 {2;1;1}

29.

cos
| a1 a2 b1 b2 c1 c2 |
a1 b1 c1 a2 b2 c2
2
2
2
n1{1;2; 1}
2
2
2
n2 {2;1;1}
| 1 2 2 1 1 1 |
1
cos
12 2 2 ( 1) 2 2 2 12 12 2
3
English     Русский Правила