Стереометрия
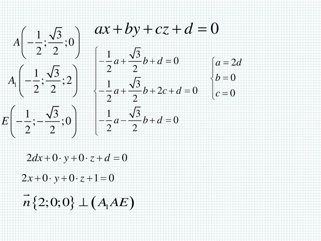
Задача2. Точка К – середина ребра АА1 куба АВСDA1B1C1D1. Найдите угол между прямыми А1В и СК.
Задача 11. В единичном кубе найдите угол между плоскостями (АСD1) и (ВDC1).
Задача 12. В правильной треугольной призме все ребра равны 1. Найдите угол между плоскостями (АВС1) и (А1В1С).
Задача 13. В правильной шестиугольной призме ребро основания равно 1, а боковое ребро – 2. Найдите угол между плоскостями
Использование ИКТ при подготовке к ЕГЭ.
2.79M
Категория: МатематикаМатематика

Стереометрия

1. Стереометрия

Векторно- координатный
метод в решении задач
№14 ЕГЭ

2.

Угол между прямыми
р - направляющий вектор прямой а
а
р
q - направляющий вектор прямой b
- угол между прямыми
q
b
p x1 ; y1 ; z1
р
q
cos =
q x2 ; y2 ; z2
| x1 x2 + y1 y2 + z1 z 2 |
x +y +z x +y +z
2
1
2
1
2
1
2
2
2
2
2
2

3.

Задача 1. В единичном кубе A...D1 найдите угол
между прямыми AE и BF, где Е – середина
ребра А1В1 , а F – середина ребра B1С1
А1
K
К - середина A1D1
B1 F
Е
D
А
Решение (1 способ)
С1
D1
AK || BF
С
KAE
5
AE AK
2
2
KE
2
По теореме косинусов для
B
AKE
KE AE AK 2 AE AK cos
cos 0,8
arccos 0,8
2
2
2

4.

z
Решение (2 способ)
А
1
А(1;0;0)
Е (1; ;1)
B1 F
2
1
В(1;1;0)
F ( ;1;1)
2
С
1
1
y АЕ 0; ;1
BF ;0;1
2
2
B
cos =
1 1
| 0 0 1 1 |
2 2
С1
D1
А1
Е
D
x
2
2
1
1
2
2
2
0 1 0 1
2
2
2
0,8

5. Задача2. Точка К – середина ребра АА1 куба АВСDA1B1C1D1. Найдите угол между прямыми А1В и СК.

1способ
С1
D1
1
А1
1
2
В1
5
2
К
D
1
2
А
1
Из KA1 D1 :
KD1 KA1 A1 D1 ;
2
2
2
2
1
2
KD1 12 ;
2
2
1
2
Из CC1 D1 :
KD1 1 ;
2
2
2
4
CD1 CC1 C1 D1 ;
a
5
KD1 ; CD12 12 12 ;
С
4
2
CD
1
1 2;
5
KD1
.
CD1 2 ;
2
В
CD1 2 .

6.

Точка К – середина ребра АА1 куба АВСDA1B1C1D1. Найдите угол
между прямыми А1В и СК.
3
Из треугольника KBC KC
2
D1
С1Составляем теорему косинусов для
стороны KD1:
1
А1
1
2
5
2
2
3
2
D
А
5 3 2
2 2
В1
К
1
2
2
a
5
2
1
1
В
2 2 32 2 cos a
2
1
3 2 cos a 3
С
cos a
3
3 2
2
cos a
2
a 450

7.

Задача 2. Точка К – середина ребра АА1 единичного куба
АВСDA1B1C1D1. Найдите угол между прямыми А1В и СК.
2 способ
x x y y z z
1
2
1
2
1
2
BA1{z0; 1;1}; KC{ 1;1; 1 } cos
2
2
2
2
2
2
2
x
y
z
x
y
z
1
1
1
2
2
2
D1
С
1
1
(1;0;1)
А1?
В1
cos
1
0 1 1 1 1
2
1
2
2
0 2 1 12 1 12
2
1
(1;0; 2 )
К?
С(?0;1;0)
cos
D
1
х
А
1
1
1
1
2
1
2 2
4
?
В(1;1;0)
cos
2
2
3
2
9
2
4
3
2
2
450
3
2
2

8.

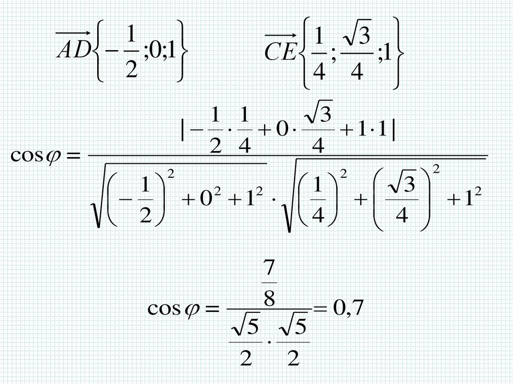
Задача 3 В правильной треугольной призме
ABCA1B1C1
все ребра которой равны 1, найдите косинус угла
между прямыми AD и CE, где D и E - соответственно
середины реберA1C1 иB1C1
z С
С
1
E
D
А1
А
1
3
2
B
1
y
B
x
y
1
2
B1
С
Решение.
А
x

9.

Координаты правильной треугольной
призмы
z С (0;0;1)
1
1 3
B1 ( ; ;1)
2 2
А1 (1;0;1)
С (0;0;0)
y
x
А(1;0;0)
1 3
B( ; ;0)
2 2

10.

Решение.
1
D( ;0;1)
2
z С1 (0;0;1)
1 3
Е ( ; ;1)
4 4
1 3
B1 ( ; ;1)
2 2
А1 (1;0;1)
С (0;0;0)
y
x
А(1;0;0)
1 3
B( ; ;0)
2 2
1
АD ;0;1
2
1 3
СЕ ;
;1
4 4

11.

1
АD ;0;1
2
cos =
1 3
СЕ ;
;1
4 4
1 1
3
| 0
1 1 |
2 4
4
2
1
1 3
2
2
2
1
0 1
2
4 4
2
cos =
2
7
8
5
5
2
2
0,7

12.

Задача 4. В правильной шестиугольной призме A...F1
все ребра которой равны 1, найдите косинус угла между
прямыми AB1 и BD1
Решение.
z
F1
Е
D1
E1
А1
E
F
x
А
B
1
1
2
F
D
D
y
С1
B1
1
С
3
2
1
С
3
2
y
А
x
В

13.

Координаты правильной шестиугольной
призмы
D
(
0
;
1
;
1
)
E
(
0
;
0
;
1
)
1
1
z
F1
E1
А1
D1
B1
Е
x
С1
D
y
F
А
В
С
А1 ( 3;0;1)
3 3
С1 ( ; ;1)
2 2
B1 ( 3;1;1)
E (0;0;0)
D(0;1;0)
3 1
F1 ( ; ;1)
2 2
3 3
3 1
F ( ; ;0) С ( ; ;0)
2 2
2 2
А( 3;0;0)
B ( 3;1;0)

14.

Решение.
z
F1
D1
E1
А1
С1
B1
E
С
| 0 ( 3 ) 1 0 1 1 |
1
0 1 1
2
y
ВD1 3;0;1
B
cos =
D1 (0;1;1)
F
x
B1 ( 3;1;1)
АВ1 0;1;1
D
А
А( 3;0;0)
B ( 3;1;0)
2
2
3 0 1
2
2
2
2 2

15.

Задача 5. В правильной четырехугольной пирамиде
SABCD, все ребра которой равны 1, отмечены точки Е и
F – середины сторон SB и SC соответственно. Найдите
угол между прямыми AE и BF.
z
Решение.
S
F
E
D
О
x
А
В
AC 12 12 2
2
С

2
y
2
2
2
2
SO 1
2
2

16.

Координаты правильной четырехугольной
пирамиды
z
D (0;0;0)
1 1 2
S( ; ;
)
2 2 2
С (0;1;0)
y
x А(1;0;0)
В(1;1;0)

17.

z
D
1 1 2
S( ; ;
)
2 2 2
F
E
С (0;1;0)
y
x
А(1;0;0)
В(1;1;0)
1 3 2
АE ; ;
4 4 4
Решение.
Е- середина SB
3 3 2
Е( ; ;
)
4 4 4
F- середина SC
1 3 2
F( ; ;
)
4 4 4
3 1 2
BF ; ;
4 4 4

18.

1 3 2
АE ; ;
4 4 4
cos =
3 1 2
BF ; ;
4 4 4
1 3 3 1
2 2
|
|
4 4 4 4 4 4
2
1 3 2
3 1 2
4 4 4
4 4 4
2
2
1
cos
6
2
2
1
arccos
6
2

19.

Угол между прямой и плоскостью
р х1; у1; z1 - направляющий вектор прямой
n x2 ; у2 ; z2 - нормальный вектор плоскости
а
n a
n
р
a
sin
| x1 x2 y1 y2 z1 z 2 |
x y z x y z
2
1
2
1
2
1
2
2
2
2
2
2

20.

Задача 6. Дан прямоугольный параллелепипед
АВСDA1B1C1D1
(АВ = AD = 2, АА1 = 1). Найти угол между прямой АС1 и
плоскостью
АВ1С.
z
B1
C1
D1
C (0;0;0), A(2;2;0) C1 0;0;1 B1 0;2;1
x y 2 z 0 n 1; 1;2
A1
C
B
у
D
A
х
Ответ:
6
arcsin
9
sin AC1 ; AB1C cos AC1 ; n
2 2 2
6
9
4 4 1 1 1 4

21.

Задача 7. В правильной четырехугольной пирамиде
SABCD , все ребра которой равны 1, найдите угол
между прямой DE, где Е- середина апофемы SF грани
ASB и плоскостью ASC
Решение.
z
S(0;0;
1
4
О
1
2
1
2
x
ОВ - вектор нормали плоскости ASC
Е(0; ;
С
D( ; ;0)
ОВ ASC
2
)
2
2
) 1 1
4 В( ; ;0)
2 2
1
F(0; ;0)
2
А
DE - направляющий вектор прямой
y
1 1
ОВ ; ;0
2 2
1 3 2
DE ; ;
2 4 4

22.

1 1
ОВ ; ;0 - вектор нормали плоскости ASC
2 2
1 3 2
DE ; ;
- направляющий вектор прямой DE
2 4 4
sin
2
1 1 1 3
| 0
|
4
2 2 2 4
1 1
1 3 2
2
0
2 2
2 4 4
2
5
8
2
5
sin
2 15
30
2
4
2
2
5
arcsin
30
2

23.

Уравнение плоскости, проходящей через
данную точку перпендикулярно данному
вектору
n{a; b; c}
А( x0 ; у0 ; z0 ) a
В ( x; y; z )
a
n a
n{a; b; c}-нормальный
вектор плоскости
А( x0 ; у0 ; z0 )
В( x; y; z ) a
АB x x0 ; y y0 ; z z0
n АB 0
a( x x0 ) b( y y 0 ) c( z z0 ) 0
ax by cz d 0
, где d (ax0 by0 cz0 )

24.

Уравнение плоскости
a( x x0 ) b( y y 0 ) c( z z0 ) 0
ax by cz d 0 , где d (ax0 by0 cz0 )
Если плоскость проходит через начало координат, то d=0
z
С
Если плоскость пересекает оси
координат в точках А, В, С, то
В
x
А
y
x y z
1
A B C
уравнение плоскости в отрезках

25.

Задача 8. Составить уравнение плоскости,
проходящей через точки А(-2;3;5), В(4;-3;0), С(0;6;-5)
и найти координаты вектора нормали.
ax by cz d 0
2a 3b 5c d 0
4a 3b d 0
6b 5c d 0
d 5c 6b
2a 3b 10c 0
4a 9b 5c 0
Решение.
5
5
a c, b c, d 5c
2
3
5
5
cx cy cz 5c 0
2
3
15 x 10 y 6 z 30 0
n{15;10;6}

26.

Расстояние от точки до плоскости
M ( x0 ; у0 ; z0 )
n{a; b; c}
a
(M ,a )
| ax0 by0 cz0 d |
a b c
2
2
2

27.

Расстояние между
параллельными плоскостями
a
ax by cz d1 0
ax by cz d2 0
(a , )
| d 2 d1 |
a b c
2
2
2

28.

Задача 9. В правильной четырехугольной пирамиде
SABCD, все ребра которой равны 1, найдите расстояние
от середины ребра ВС до плоскости SCD
Решение.
z
S
y
y
А
D
В
M
С
x
А
О
2
D (0;
;0)
2
2
2
С(
;0;0)
В (0;
;0)
2
2
2
2
М(
;
;0)
4
4
x

29.

z
Решение.
2
S (0;0;
)
2
(M ,a )
| ax0 by0 cz0 d |
a 2 b2 c2
y
А
В
2
D (0;
;0)
2
2
С(
;0;0)
2
2
2
M(
;
;0)
x
4
4
x
y
z
1
2
2
2
2
2
2
2x 2 y 2z 1 0
2
2
2 0 1|
| 2
2
4
4
1
( M , SCD)
2
2
2
6
2 2 2

30.

Угол между плоскостями
a : a1x b1 y c1z d1 0
Вектор нормали плоскости a : n1{a1 ; b1 ; c1}
: a2 x b2 y c2 z d2 0
Вектор нормали плоскости : n2 {a2 ; b2 ; c2 }
cos
| a1 a2 b1 b2 c1 c2 |
a1 b1 c1 a2 b2 c2
2
2
2
2
2
2

31.

Угол между плоскостями равен углу между
перпендикулярами к этим плоскостям.
a1 x b1 y c1 z d1 0 уравнение плоскости a
a2 x b2 y c2 z d 2 0 уравнение плоскости
m a1 ; b1 ; c1 a
n
n a2 ; b2 ; c2
cos m;n
m
a1a2 b1b2 c1c2
a b c
2
1
2
1
2
1
a b c
2
2
2
2
2
2

32.

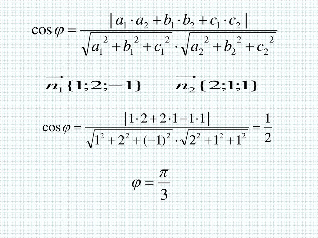
Задача 10. В единичном кубеA...D1
найдите угол
между плоскостями AD1E и D1FC , где Е – середина
ребра А1В1 , а F – середина ребра B1С1
Решение.
z
Е
А1
B1
A(0;0;0)
С1
B
А
D
x
С
D1 (1;0;1)
ax by cz d 0
F
D1
1
Е (0; ;1)
2
y
d 0
a c d 0
1
b c d 0
2
Уравнение плоскости AD1E :
Вектор нормали плоскости AD1E :
с а
b 2a
ax 2ay az 0
x 2y z 0
n1{1;2; 1}

33.

z
Е
А1
D1 (1;0;1)
B1
С1
B
А
D
x
С (1;1;0)
ax by cz d 0
F
D1
1
F ( ;1;1)
2
а с d 0
1
a b c d 0
2
a b d 0
y
С
a 2c
b c
d 3c
2cx cy cz 3c 0
Уравнение плоскости
D1FC : 2 x y z 3 0
Вектор нормали плоскости
D1FC : n2 {2;1;1}

34.

cos
| a1 a2 b1 b2 c1 c2 |
a1 b1 c1 a2 b2 c2
2
2
2
n1{1;2; 1}
2
2
2
n2 {2;1;1}
| 1 2 2 1 1 1 |
1
cos
12 2 2 ( 1) 2 2 2 12 12 2
3

35. Задача 11. В единичном кубе найдите угол между плоскостями (АСD1) и (ВDC1).

A (1; 0; 0) D1 (0; 0; 1)
C (0; 1; 0)
z
D (0; 0; 0) C1 (0; 1; 1)
B (1; 1; 0)
у
х
Запишем уравнения
плоскостей (АСD1) и
(BDC1):

36.

ax by cz d 0
a d 0
b d 0
c d 0
a d
b d
c d
dx dy dz d 0
d 0
a b d 0
b c d 0
d 0
a b
c b
bx by bz 0
A (1; 0; 0)
C (0; 1; 0)
D1 (0; 0; 1)
D (0; 0; 0)
B (1; 1; 0)
C1 (0; 1; 1)
cos m;n
x y z 1 0
m 1;1;1 ACD1
x y z 0
n 1; 1;1 DBC1
1 1 1 1 1 1
1 1 1 1 1 1
m; n arccos
2
1
3
2
2
2
2
Ответ: arccos
2
1
3
1
3

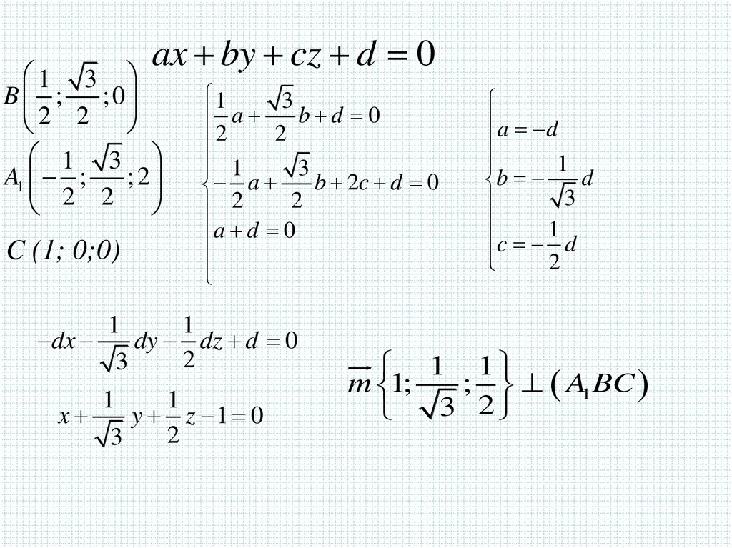
37. Задача 12. В правильной треугольной призме все ребра равны 1. Найдите угол между плоскостями (АВС1) и (А1В1С).

z
С1
В1
А1
С
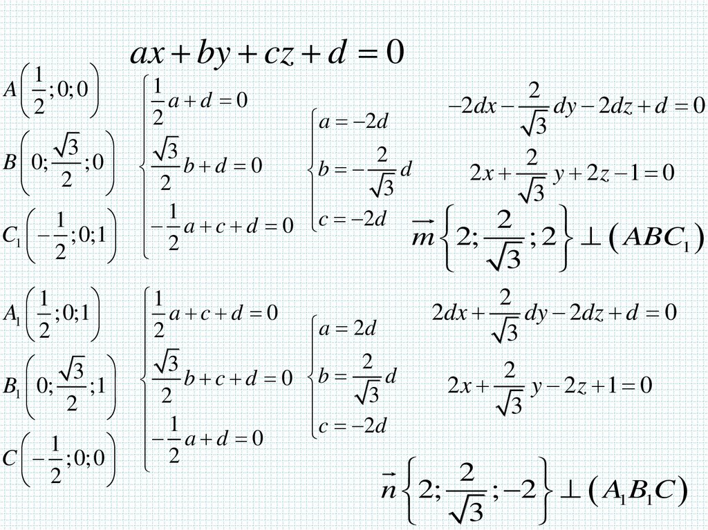
А
х
В
3
1
A ; 0; 0 B 0;
;0
2
2
1
C1 ;0;1
2
3
1
A1 ;0;1
B1 0;
;1
2
2
1
C ;0;0
2
Запишем уравнения
плоскостей (АBС1) и
у (A1B1C):

38.

1
A ; 0; 0
2
ax by cz d 0
1
2
a
d
0
2
dx
dy 2dz d 0
2
a 2d
3
3 3
2
2
B 0;
;0 b d 0
b
d
2
x
y 2z 1 0
2
2
3
3
2
1
1 a c d 0 c 2d
C1 ;0;1 2
m 2;
; 2 ABC1
2
3
1
A1 ;0;1
2
3
B1 0;
;1
2
1
C ;0;0
2
1
2 a c d 0 a 2d
2
3
d
b c d 0 b
3
2
c 2d
1
2 a d 0
2
2dx
dy 2dz d 0
3
2
2x
y 2z 1 0
3
2
n 2;
; 2 A1 B1C
3

39.

2
m 2;
; 2
3
cos m;n
2
n 2;
; 2
3
2 2
2 2
2 2
3 3
1
2
2
2
2
2
2
2
2
7
2
2 2
2
3
3
1
m; n arccos
7
Ответ: arccos
1
7

40. Задача 13. В правильной шестиугольной призме ребро основания равно 1, а боковое ребро – 2. Найдите угол между плоскостями

(ВА1D1) и
(АА1Е1).
1 3
z
1 3
B ;
;0
2 2
1 3
A1 ;
; 2
2 2
A ;
;0
2 2
1
3
E ;
; 0
2
2
C (1; 0;0)
х
у
Запишем уравнения
плоскостей (А1BC) и
(AA1E):

41.

ax by cz d 0
1 3
B ;
;0
2 2
1 3
A1 ;
; 2
2 2
C (1; 0;0)
1
3
b d 0
a
2
2
1
3
a
b 2c d 0
2
2
a d 0
1
1
dx
dy dz d 0
2
3
1
1
x
y z 1 0
2
3
a d
1
b
d
3
1
c
d
2
1 1
m 1;
; A1 BC
3 2

42.

1 3
A ;
;0
2 2
1 3
A1 ;
; 2
2 2
1
3
E ;
; 0
2
2
ax by cz d 0
1
3
b d 0
a
2
2
1
3
b 2c d 0
a
2
2
1
3
b d 0
a
2
2
2dx 0 y 0 z d 0
2x 0 y 0 z 1 0
n 2; 0; 0 A1 AE
a 2d
b 0
c 0

43.

1 1
m 1;
;
3 2
cos m;n
n 2; 0; 0
1
1
1 2
0 0
2
3
2
2
1 1
2
2
2
12
2
0
0
2
3
12
19
12
m; n arccos
19
12
Ответ: arccos
19

44.

Задача 14. В правильной четырехугольной призме АВСDA1B1C1D1
стороны основания равны 2, а боковые ребра равны 5. На ребре АА1
отмечена точка Е так, что АЕ : ЕА1 = 3 : 2. Найдите угол между
плоскостями АВС и ВЕD1. (Обсудить нахождение линейного угла
двугранного угла).
D1
FPC – линейный
C1
A1
угол
двугранного угла
FBOC
3
B1
2
F
5E
2
3
a
2
А
O
C
D
2
В
P

45.

В правильной четырехугольной призме АВСDA1B1C1D1 стороны
основания равны 2, а боковые ребра равны 5. На ребре АА1 отмечена
точка Е так, что АЕ : ЕА1 = 3 : 2. Найдите угол между плоскостями АВС и
ВЕD1.
2 способ.
a : a x b y c z d 0
1
1
1
1
Вектор нормали плоскости
D1
1
1
1
C1
A1
B1
2
| a1 a2 b1 b2 c1 c2 |
a1 b1 c1
2
2
E(2;0;3), B(2;2;0),
F
2a+3c+d=0
5c+d=0
2a+2b+d=0
E
5
n ( BED1 )
2
a2 b2 c2
2
2
a=c
d=-5c
b=1,5c
2
x
2
В
y
cos
2
DD1 {0; 0;5},
D1 (0;0;5).
2x+3y+2z-10=0
n {2;3;2}
D
А
1
: a2 x b2 y c2 z d 2 0
Вектор нормали плоскости : n2 {a2 ; b2 ; c2 }
z
cos
3
a : n {a ; b ; c }
0 2 0 3 5 2
0 2 0 2 5 2 2 2 32 2 2
2
17

46. Использование ИКТ при подготовке к ЕГЭ.

Название сайта
Материалы сайта
Электронный адрес
Все задачи открытого банка
http://reshuege.ru/
заданий ЕГЭ по математике 2013
года с образцами решений.
ALEXLARIN.NET
Материалы прошлых лет.
Диагностические и
тренировочные работы.
АВ Alleng
Учебные материалы (книги,
http://www.alleng.ru
учебники, пособия, справочники
и т.п.) размещенные на самом
сайте.
Открытый банк заданий ЕГЭ по математике
Задания, тренировочные работы, http://mathege.ru
документы
МИФИст
Решённые задачи открытого
банка
Документы, КИМы
http://live.mephist.ru/sho
w/mathege2010/
http://www.fipi.ru/
Документы, новости,
мероприятия
http://ege.edu.ru/
Федеральный институт педагогических измерений
Официальный информационный портал ЕГЭ
http://alexlarin.net/
English     Русский Правила