Итерационные методы решения систем нелинейных уравнений
Каноническая форма одношаговых итерационных методов
Алгоритм решения итерационными методами (1 вариант)
Алгоритм решения итерационными методами (2 вариант)
Методы решения систем нелинейных уравнений
Нелинейные итерационные методы
Численные методы решения нелинейных уравнений
Основные положения методов решения нелинейных уравнений
Отделение корней алгебраических уравнений
Шаговый метод отделения корня
Блок-схема шагового метода
Метод половинного деления
Метод Ньютона
Ограничение применимости метода Ньютона
Метод простой итерации
Ограничение применимости метода простых итераций
Ограничение на значение точности ε
732.50K
Категория: МатематикаМатематика

Тема 3. Системы НУ

1.

Андреева Анна Дмитриевна

2. Итерационные методы решения систем нелинейных уравнений

1
F(X ) 0
f1 x1 , x2 , , xm 0
f ( x , x , , x ) 0
2 1 2
m
f m ( x1 , x2 , , xm ) 0
- вектор решения, полученный на
X 0 x10 , x20 , , xm0
X n x1n , x2n , , xmn
- начальное приближение
(заданный вектор)
n-ой итерации
0 1
- точность решения (задана)

3. Каноническая форма одношаговых итерационных методов

Каноническая форма
одношаговых итерационных
F(X ) 0
методов
Bn 1
X n 1 X n
n 1
Метод сходится, если
F(X ) 0
n
2
X n 1 X n 0, n
3
max xin 1 xin
Явный метод, если Bn+1=E
1 i m
Неявный метод, если Bn+1≠ E
Cтационарный метод, если B = const, τ = const
Нестационарный метод, если B ≠ const или τ ≠ const

4. Алгоритм решения итерационными методами (1 вариант)

Задать начальное приближение
X 0 x10 , x20 , , xm0 и точность ε, n=0
Вычислить значение X n 1 x1n 1, x2n 1, , xmn 1
в соответствии с итерационным методом
Нет
n=n+1
max xin 1 xin
1 i m
Да
Решение системы:
X n 1 x1n 1, x2n 1, , xmn 1
Конец

5. Алгоритм решения итерационными методами (2 вариант)

Задать начальное приближение
X 0 x10 , x20 , , xm0 и число шагов n0 , n=0
Вычислить значение X n 1 x1n 1, x2n 1, , xmn 1
в соответствии с итерационным методом
Да
n=n+1
Нет
(n+1)<n0
Решение системы:
X n 1 x1n 1, x2n 1, , xmn 1
Точность решения:
max xin 1 xin
1 i m
Конец

6. Методы решения систем нелинейных уравнений

1. Метод простой итерации
X n 1 X n F ( X n ) 0
4
X n 1 X n F ( X n )
n 1
n
n n
n
xi xi f i ( x1 , x2 , , xm ),
i 1, m
4.1

7.

2. Метод Ньютона
X n x1n , x2n , , xmn
j m
n
n
f
(
x
,
x
n
n
n
n 2
i 1
m)
f i ( x1 , , xm ) f i ( x1 , , xm ) ( x j x j )
( X X ),
x j
j 1
i 1, m
j m
n f i ( X
(x j x j )
x j
j 1
j m
n
)
n 1
n f i ( X
(x j x j )
x j
j 1
f i ( X n ) 0, i 1, m
n
)
f i ( X n ) 0, i 1, m
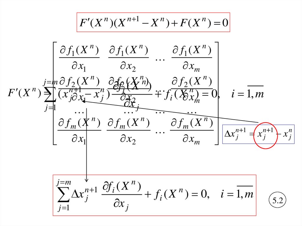
F ( X n )( X n 1 X n ) F ( X n ) 0
5
5.1

8.

F ( X n )( X n 1 X n ) F ( X n ) 0
f1 ( X n ) f 1 ( X n )
f1 ( X n )
x2
xm
x1
n
f 2 ( X n ) f 2 ( X nn)
f
(
X
)
j m
2
f
(
X
)
n
, i 1, m
F ( X n ) ( x nj 1x x nj ) i x
f
(
X
)
0
i xm
1
2
x j
j 1
fm (X n ) fm ( X n )
fm (X n )
x nj 1 x nj 1 x nj
x2
xm
x1
j m
n 1 f i ( X
x j
x j
j 1
n
)
f i ( X n ) 0, i 1, m
5.2

9. Нелинейные итерационные методы

f1 x1 , x2 , , xm 0
f ( x , x , , x ) 0
2 1 2
m
f m ( x1 , x2 , , xm ) 0
x1 g1 x1 , x 2 , , x m
x g ( x , x , , x )
2
2 1 2
m
x m g m ( x1 , x2 , , xm )
6
3. Метод Якоби
n 1
n
n
n n
n
xi gi ( x1 , , xi 1, xi , xi 1, , xm ),
i 1, m
7
4. Метод Зейделя
n 1
n 1
n 1 n n
n
xi gi ( x1 , , xi 1 , xi , xi 1, , xm ),
i 1, m 8

10. Численные методы решения нелинейных уравнений

f ( x) 0
1
Трансцендентные
Алгебраические
a0 x n a1 x n 1 an 1 x an 0
2
Примеры
2x3 x 2 5 0
ln x x 0
2

11. Основные положения методов решения нелинейных уравнений

f ( x) 0
Решение производится в два этапа:
Этап отделения корня получение начального
приближения корня
x0
Условия
окончания
итераций:
Этап уточнения корня последовательное уточнение
приближения корня:
3
x n 1 x n
n0
x1 , x 2 , , x n
ε – заданная точность
- заданное число итераций

12. Отделение корней алгебраических уравнений

a0 x n a1 x n 1 an 1 x an 0
2
1. Имеет n корней
2. Число «+» корней равно числу перемен знаков в последовательности коэффициентов a0 , a1 , , an
3. Число «-» корней равно числу перемен знаков в последовательности коэффициентов a0 , a1 , , an , где x заменено на -x
4. Интервалы существования «+» и «-» корней:
an
M
x 1
m an
a0
где
m max a0 , a1 , , an 1 ,
an
M
1
x
a0
m an
M max a1 , a2 , , an

13. Шаговый метод отделения корня

f ( x) 0
1
[xн , xв], хн < хв
1) на отрезке [xн,xв] есть корень?
2) сузить отрезок до величины h, h <1
f (x)
f (x)
f(xн)f(xв)>0 – нет корня
f(xн)f(xв)<0 – есть корень
f (xв)

xн+h xxнн+hxн+h xв
x
f (xн)
f(xн)f(xн+h)>0 – нет корня
f(xн)f(xн+h)<0 – есть корень

14. Блок-схема шагового метода

[xн,xв],h,
где xн<xв
Найти значения функции
в точках xн, xн+h
f(xн)f(xн+h)>0
Да
Нет
xв:=xн+h
xн:=xн+h
Нет
xн>xв
Да
Ответ:
[xн, xв]
Ответ: на
[хн,xв] – нет корня
Конец

15. Метод половинного деления

f ( x) 0
f (x)
1
f(xн)f(xв)<0 – есть корень
f (x)
f (xв)

x1
x2 x
в
x
f (xн)
x
n 1
x
n

16. Метод Ньютона

f ( x) 0
f (x)

f (x)
x 2 x1 x 0
y f ( x n ) f ( x n )( x x n )
0
x

xn+1
n 1
1
x
n
x
n
f
(
x
)
n 1
n
x x
n
f (x )
4

17. Ограничение применимости метода Ньютона

f ( x) f ( x) 0
f (x)
f (x)

5

x1
x0
x

18. Метод простой итерации

f ( x) 0
y
x (x)
y (x)
1
y
1
y0
x n 1 ( x n ) 6
x
x0
x1
x2
x
n 1
x
n

19. Ограничение применимости метода простых итераций

y
y (x)
?
y0
x
x 0 x1
( x) 1
7

20. Ограничение на значение точности ε

T x
n 1
x
n
Т
min 10 7
εmin
min
n
x x
n 1
x [ x n 1 , x n 1 ]
English     Русский Правила