5.81M
Категория: ФизикаФизика

Диагностическая работа по физике. Физические величины

1.

Диагностическая работа
по физике.
24.04 апреля 2017 г.

2.

-4

3.

70

4.

2,5

5.

9

6.

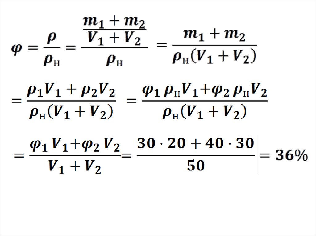
36

7.

17

8.

9.

Плечом силы называется кратчайшее расстояние от данной точки
(центра) до линии действия силы, т. е. длина перпендикуляра,
опущенного из этой точки на линию действия силы
d=0

10.

0,5

11.

0

12.

14

13.

23

14.

2
2
В положении равновесия скорость груза максимальна. Поэтому при движении вниз от положения
равновесия, скорость груза уменьшается, а значит, уменьшается и кинетическая энергия.
Для вертикального маятника важно различать потенциальную энергию груза (mgh) и потенциальную
энергию пружины kx2/2. Первая определяется изменением вертикальной координаты груза, вторая —
деформацией пружины. При этом, поскольку в положении равновесия пружина растянута силой тяжести,
действующей на груз, значение потенциальной энергии пружины в этом состоянии не обращается в нуль.
Ясно, что при движении вниз, потенциальная энергия груза уменьшается. Пружина же, по условию, все
время остается растянутой. Следовательно, когда груз двигается вниз, ее деформация увеличивается, а
значит, увеличивается и потенциальная энергия пружины и уменьшается кинетическая энергия груза.

15.

2
1
В положении равновесия скорость груза максимальна. Поэтому при движении вниз от положения
равновесия, скорость груза уменьшается, а значит, уменьшается и кинетическая энергия.
Для вертикального маятника важно различать потенциальную энергию груза (mgh) и потенциальную
энергию пружины kx2/2. Первая определяется изменением вертикальной координаты груза, вторая —
деформацией пружины. При этом, поскольку в положении равновесия пружина растянута силой тяжести,
действующей на груз, значение потенциальной энергии пружины в этом состоянии не обращается в нуль.
Ясно, что при движении вверх, потенциальная энергия груза увеличивается. Пружина же, по условию, все
время остается растянутой. Когда груз двигается вверх, уменьшается кинетическая энергия груза.

16.

17.

18.

24

19.

13

20.

2

21.

0,5

22.

100

23.

40
- 10
- 40
30

24.

5,4
900 ·0,2·(60-90)= -5400 Дж

25.

2,5

26.

27.

28.

35

29.

30.

31.

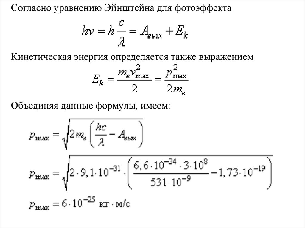
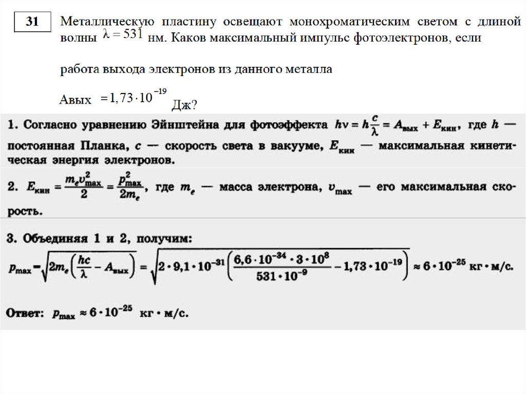
12

32.

3
2

33.

1
3

34.

вправо

35.

влево

36.

3

37.

5700

38.

30

39.

60

40.

41.

42.

12

43.

44.

R
H

45.

34

46.

2
3

47.

1
1

48.

1 2

49.

3 4

50.

38
49

51.

29
36

52.

10

53.

25

54.

1
3

55.

1
3

56.

70
5

57.

40,0 2,5

58.

1 4

59.

2 5

60.

61.

3
X

62.

1,3

63.

150

64.

20

65.

66.

67.

1

68.

69.

70.

0,4

71.

72.

73.

74.

75.

76.

77.

78.

79.

80.

81.

82.

83.

Начался процесс конденсации
70%

84.

85.

86.

87.

Согласно уравнению Эйнштейна для фотоэффекта
Кинетическая энергия определяется также выражением
Объединяя данные формулы, имеем:
English     Русский Правила