Биологическое значение ТГ
БИОЛОГИЧЕСКОЕ ЗНАЧЕНИЕ ФОСФОЛИПИДОВ
СТРУКТУРА БИОМЕМБРАН по Сингеру и Николсону
538.00K
Категория: ХимияХимия

Л3 Липиды

1.

ЛИПИДЫ
- разнородная по химическому составу
группа природных органических веществ,
растворимых в малополярных органических
растворителях (бензоле, эфире и др.) и
нерастворимых в воде.

2.

Классификация липидов
I. По способности к гидролизу:
омыляемые (гидролизуются) и
неомыляемые (не гидролизуются).
II. В зависимости от компонентного состава:
ОМЫЛЯЕМЫЕ ЛИПИДЫ
ПРОСТЫЕ
гидролизуются с образованием 2-х компонентов:
высших карбоновых
кислот и спиртов
СЛОЖНЫЕ
гидролизуются с образованием 3-х и > компонентов:
высших карбоновых кислот,
спиртов и др. веществ

3.

ОМЫЛЯЕМЫЕ ЛИПИДЫ
ПРОСТЫЕ
СЛОЖНЫЕ
- воски
- фосфолипиды
(глицерофосфолипиды)
- церамиды
- жиры и масла
- сфинголипиды
(сфингомиелины,
цереброзиды)
- гликолипиды
(ганглиозиды)

4.

Структурные компоненты липидов
Высшие жирные кислоты (ВЖК)
Признаки строения ВЖК:
- являются монокарбоновыми;
- содержат четное число атомов углерода;
- имеют неразветвленный УВ радикал;
- имеют цис-конфигурацию двойных связей
(ненасыщенные)
- являются несопряженными системами
(полиненасыщенные).

5.

Насыщенные ВЖК
Тривиальное
название кислоты
Формула
число
атомов
углерода
пальмитиновая
стеариновая
арахиновая
C15H31-COOH
C17H35-COOH
C19H39-COOH
16
18
20
Ненасыщенные ВЖК
олеиновая
C17H33-COOH
число
ат. С и
двойных св.
18:1
линолевая
C17H31-COOH
18:2
линоленовая
C17H29-COOH
18:3
арахидоновая
C19H31-COOH
20:4

6.

Изомеризация ВЖК
H
H
C C
CH3(CH2)7
(CH2)7COOH
олеиновая кислота
цис-изомер
цис-конфигурация
двойной связи
HNO3, t
H
C C
CH3(CH2)7
(CH2)7COOH
H
элаидиновая кислота
транс-изомер
транс-конфигурация
двойной связи

7.

Номенклатура ненасыщенных ВЖК
Способ 1.
18
16 15
H3C
17
13 12
14
7
10 9
11
8
5
6
1
3
4
COOH
2
линоленовая кислота (ист.)
октадекатриен-9,12,15-овая кислота (совр.)
18 : 3
9,12,15
число атомов
положение
углерода
двойных связей
число двойных
связей

8.

Способ 2.
Линоленовая кислота
9,12,15
18:3 Δ
Способ 3.

6
3 4
H3C
2
5
9 10
7
8
линоленовая кислота
18:3 ω-3
18
COOH

9.

Ненасыщенные ВЖК подразделяют на
следующие типы:
обозначение тип кислоты
Омега 3
(ω-3)
Омега 6
(ω-6)
Омега 9
(ω-9)
основные
источники
тип
рыбий жир,
линоленовой
льняное
кислоты
масло
тип
подсолнечное
линолевой
масло
кислоты
тип
олеиновой
кислоты
оливковое
масло

10.

Полиненасыщенные ВЖК могут быть
заменимыми и незаменимыми.
Заменимые полиненасыщенные ВЖК
могут быть синтезированы в организме
из незаменимых.
Незаменимые ВЖК в организме не синтезируются, но они необходимы для нормального
развития организма и должны поступать с
пищей в количестве ~5 г в день.
К незаменимым ВЖК («витамин F») относятся
линолевая, линоленовая и арахидоновая к-ты.

11.

Биологическое значение ВЖК
- Образуются при голодании организма из жиров, запасенных в
жировой ткани. Имеются в плазме крови (голодание).
- Важнейший источник энергии для клеток при окислении в
аэробных условиях (миокард, красные скелетные мышцы,
почки, печень), высококалорийны.
- Ацил-КоА ВЖК используются для синтеза триглицеридов,
фосфолипидов, сфингомиелинов и др. липидов организма.
- Полиненасыщенные ВЖК – содержатся в специализированных липидах нервной ткани, в составе фосфолипидов придают
текучесть и проницаемость клеточным мембранам, регулируют
и нормализуют липидный обмен.
- Используются для профилактики и лечения атеросклероза
(препарат линетол – смесь этиловых эфиров НВЖК)
- Транс-изомеры природных ВЖК (элаидиновая кислота) –
ксенобиотики, содержатся в полусинтетических жирах
(маргарине).

12.

Простые липиды
Жиры и масла
Жиры и масла (триацилглицерины, ТГ) –
это сложные эфиры трехатомного спирта
глицерина и ВЖК.
O
H2C
O C R
O
HC
O C
R'
O
H2C
O C R''
RСО, R’СО, R’’СО –
ацильные остатки ВЖК

13.

Простые ТГ содержат остатки одинаковых
ВЖК, смешанные ТГ – остатки разных ВЖК.
Твердые ТГ содержат остатки насыщенных
ВЖК и называются жирами (животные жиры).
Жидкие ТГ содержат остатки ненасыщенных
ВЖК и называются маслами (растительные
масла).

14.

Номенклатура, изомерия ТГ
O
H2C
O C C17H35
O
HC
O C
O C C15H31
O
C17H35
O
H2C
1
H2C
O
O C C17H35
тристеароилглицерин
(тристеарин)
2
HC O C
C17H35
O
3
H2C O C C17H35
1-пальмитоилдистеароилглицерин

15.

1
H2C
O
O C C17H33
O
C17H31
2
*
C O C H
O
3
H2C O C C17H29
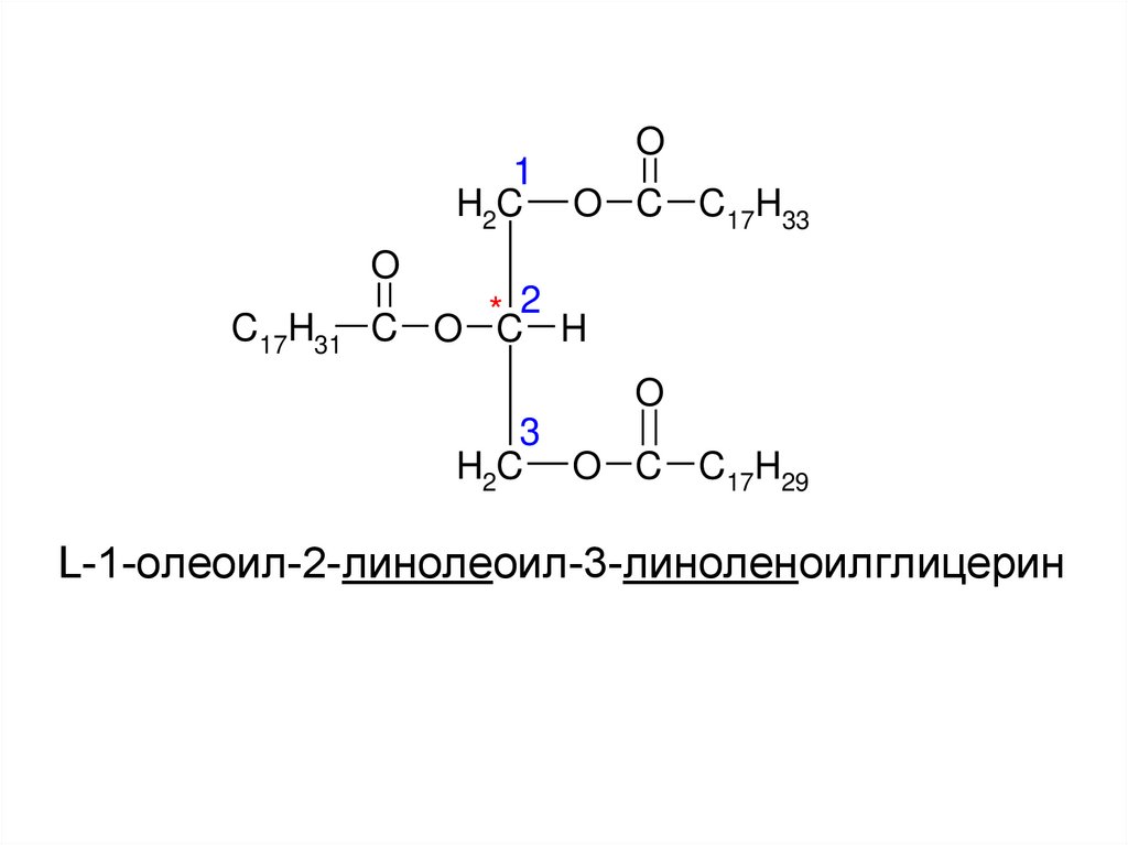
L-1-олеоил-2-линолеоил-3-линоленоилглицерин

16. Биологическое значение ТГ

- Основной липидный компонент пищи
человека (около 100 г/cут).
- Биосинтезируются из глицерина и ацил-КоА
(липогенез) и запасаются в жировой ткани
на случай голодания (не менее 10 кг).
- При голодании расщепляются с
образованием ВЖК и глицерина (липолиз).
- Содержатся в плазме крови в
составе липопротеиновых фракций крови.
- Накапливаются в печени при снижении
ее функции (стеатоз печени).

17.

Сложные липиды
Фосфолипиды
отщепляют при гидролизе фосфорную кислоту
Глицерофосфолипиды – главные липидные
компоненты клеточных мембран.
Среди глицерофосфолипидов наиболее
распространены фосфатиды – сложноэфирные производные L-фосфатидовых
кислот.

18.

В природных фосфатидах в положении 1
находится остаток насыщенной, в положении
2 – ненасыщенной кислоты, одна из ОН-групп
фосфорной кислоты этерифицирована
многоатомным спиртом или аминоспиртом:
насыщенный
O
1
ненасыщенный
O
H2C
O C R
2
R' C O C H
3
H2C
OH
O P O
Ox

19.

В зависимости от строения аминоспирта
фосфатиды подразделяются на:
Фосфатидилсерины
(аминоспирт = серин)
O
O
H2C
O C R
R' C O C H
O
H2C
O P O
O
+
CH2
H3N HC
COOH
фосфатидилсерины
(серинкефалины)

20.

Фосфатидилэтаноламины
(аминоспирт = 2-аминоэтанол)
O
O
H2C
O C R
R' C O C H
O
H2C
O P O
O
+
CH2
H3N H C
2
фосфатидилэтаноламин
(коламинкефалины)

21.

Фосфатидилхолины
(аминоспирт = холин)
O
O
H2C
O C R
R' C O C H
O
H2C
O P O
O
+
CH2
(CH3)3N H C
2
фосфатидилхолины
(лецитины)

22. БИОЛОГИЧЕСКОЕ ЗНАЧЕНИЕ ФОСФОЛИПИДОВ

• Основные структурные компоненты липидного
бислоя биомембран.
• Содержатся в плазме крови в составе
липопротеиновых фракций крови.
• Содержатся
в
желчи,
необходимы
для
эмульгирования ТГ пищи в кишечнике.
• Являются пищевыми эмульгаторами (лецитин).
• Лецитин замедляет развитие атеросклероза.

23.

Химические свойства
омыляемых липидов
1. Гидролиз
а) гидролиз простых липидов (ТГ):
O
H2C
O C C17H35
H2C
OH
O
HC
H2C
O C
C17H35 + 3NaOH
водный
O
раствор
O C C17H35
T
HC
H2C
OH + 3C17H35
OH
глицерин
C
O
O Na
стеарат натрия
(мыло)

24.

б) гидролиз сложных липидов (лецитинов):
O
H2C O C C17H35
O
C17H31 C O C H
C17H35COONa
H2C OH
+ 5NaOH
O
водный
H2C O P O
раствор
O
CH2
+
(CH3)3N H C
2
T
HC OH
H2C OH
C17H31COONa
+
Na3PO4
+
HO-CH2CH2-N(CH3)3

25.

2. Реакции присоединения (гидрирование,
галогенирование, гидрогалогенирование,
гидратация)
O
H2C
O C
(CH2)7CH
CH(CH2)7CH3
H2C
O
HC
O C
O C
(CH2)7CH
I
CH(CH2)7CH3
O
C17H35
O
H2C
I
O
O C C17H35
+
I2
HC
O C
C17H35
O
H2C
O C C17H35
1-олеодистеарин
Йодное число – мера ненасыщенности ТГ –
соответствует массе (г) йода, которое может
присоединиться к 100 г вещества.

26.

O
H2C
O
O C C17H33
H2C
O
HC
O C
O
C17H33
+
3H2
t, Ni
HC
O
H2C
O C C17H35
O C C17H33
триолеин
(жидкий жир)
O C
C17H35
O
H2C
O C C17H35
тристеарин
(твердый жир)

27.

3. Реакции окисления ТГ
O
O
R CH
CH
+ O2
C
остаток
непредельной
кислоты
R CH
CH
O
O
C
перекись
O
O
R CH2 CH2 C
остаток
предельной
кислоты
+ O2
R CH2 CH
C
O
O
H
гидроперекись
Прогоркание жиров - процесс накопления
низкомолекулярных продуктов гидролиза и
окисления, в результате чего жиры
приобретают неприятный, прогорклый запах и вкус.

28.

Неомыляемые липиды
- низкомолекулярные биорегуляторы,
например, терпены и стероиды.
К стероидам относятся: половые гормоны,
желчные кислоты, стерины.
Стероиды имеют циклическое строение, в
основе их структуры лежит скелет гонана:

29.

Строение холестерина (холестерола)
CH3
CH3
HO

30.

Биологические мембраны – сложные
надмолекулярные структуры,
окружающие все живые клетки и
образующие в них замкнутые,
специализированные компартменты –
органеллы.

31. СТРУКТУРА БИОМЕМБРАН по Сингеру и Николсону

Главные
компоненты
мембран:
фосфолипиды, холестерин, мембранные
белки,
несущие
углеводные
олигосахаридные фрагменты.
Основа
структуры
биомембран

фосфолипидный бислой.
Фосфолипиды (как и все сложные липиды)
являются амфифильными (дифильными),
т.е. содержат неполярные «хвосты»:
УВ радикалы ВЖК и полярную часть:
карбоксильная, фосфатная, холиновая группы.

32.

молекула лецитина
полярная часть
неполярные "хвосты"
O
H2C
(CH3)3N +
CH2 O
_
O
O
P
CH3
O C
O
CH2 CH
H2C O C
CH3
O
Схема липидного бислоя:
красным обозначена полярная «голова» молекулы,
серым — неполярный «хвост» (углеводородная цепь).

33.

Амфифильность липидов является причиной
полупроницаемости мембран: проницаемы
для неполярных молекул и непроницаемы
для полярных веществ.
Липидный бислой пронизан холестерином и
белками (интегральные и периферические),
выполняющими особые структурные,
транспортные, рецепторные, регуляторные
и каталитические функции.

34.

СТРУКТУРА БИОМЕМБРАНЫ
по Сингеру и Николсону
English     Русский Правила