Лекція 11 ОСНОВНІ ТЕОРЕМИ ДИНАМІКИ ТОЧКИ
1.09M
Категория: ФизикаФизика

ДРФ л11

1. Лекція 11 ОСНОВНІ ТЕОРЕМИ ДИНАМІКИ ТОЧКИ

1

2.

1. Теорема про зміну кількості руху матеріальної точки
d
mv F
dt
Теорема про зміну кількості руху матеріальної точки в
диференціальній формі:
d (mv ) Fdt
2

3.

t 0
v0
Теорема про зміну кількості руху матеріальної точки в
інтегральній формі:
t
mv mv0 Fdt
0
r xi yj zk
t
mx mx 0 Fx dt
0
v x i y j z k
t
my my 0 Fy dt
0
F Fx i Fy j Fz k
t
mz mz 0 Fz dt
0
3

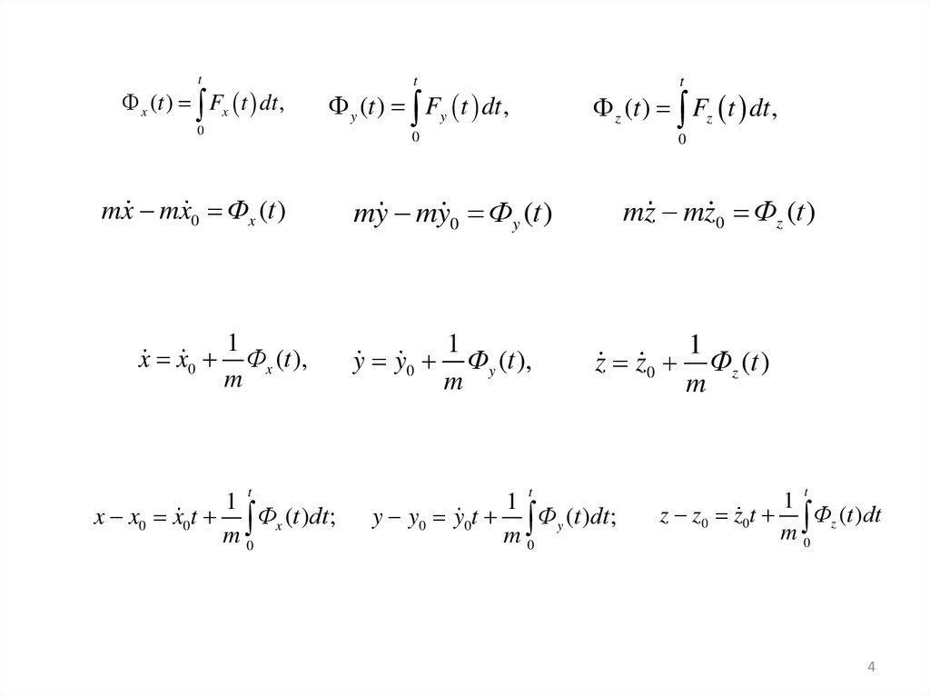
4.

t
x (t ) Fx t dt ,
0
t
t
y (t ) Fy t dt ,
z (t ) Fz t dt ,
0
mx mx0 Фx (t )
1
x x0 Фx (t ),
m
t
1
x x0 x0t Фx (t )dt ;
m0
0
mz mz0 Фz (t )
my my0 Фy (t )
y y0
1
Фy (t ),
m
t
z z0
1
y y0 y0t Фy (t )dt ;
m0
1
Фz (t )
m
t
1
z z0 z0t Фz (t )dt
m0
4

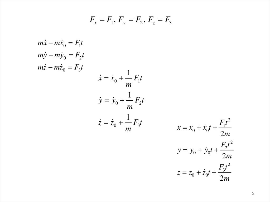
5.

Fx F1 , Fy F2 , Fz F3
mx mx0 F1t
my my0 F2t
mz mz0 F3t
1
F1t
m
1
y y0 F2t
m
1
z z0 F3t
m
x x0
F1t 2
x x0 x0t
2m
F2t 2
y y0 y0t
2m
F3t 2
z z0 z 0 t
2m
5

6.

Момент кількості руху матеріальної точки
mv
F
v
M
MO
KO
O
r
d
r mv r F
dt
r F MO
r mv KO
6

7.

Теорема про зміну моменту кількості руху матеріальної точки
d
dr
d
r mv mv r mv
dt
dt
dt
dr
v
dt
v mv 0
d
d
r mv r mv
dt
dt
d
r mv r F
dt
dK O
MO
dt
7

8.

dK O
MO
dt
dK x
M x,
dt
r F MO
dK y
dt
M y,
dK z
Mz
dt
M x yFz zF y ,
M y zFx xFz ,
M z xFy yFx .
8

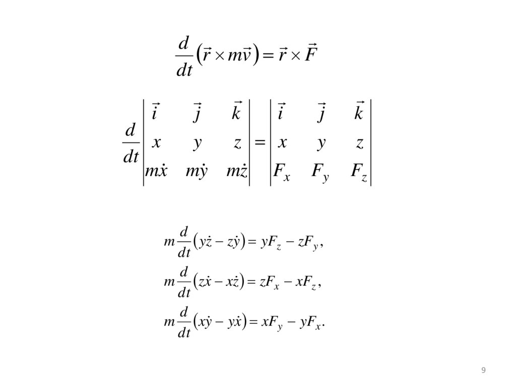
9.

d
r mv r F
dt
i
j
k
i
j
d
x
y
z x
y
dt
mx my mz Fx Fy
k
z
Fz
d
yz zy yFz zFy ,
dt
d
m zx xz zFx xFz ,
dt
d
m xy yx xFy yFx .
dt
m
9

10.

Закон збереження моменту кількості руху матеріальної точки
dK O
MO
dt
MO 0
KO const
10

11.

тривісний гіроскоп у кардановому підвісі
KO H
dH
MO
dt
dH
H MO
dt
двовісний гіроскоп у кардановому підвісі
y

z H
H MO
x
MO
dH
0
dt
M Г M O
M Г H
11

12.

IMU MAX 21105™
12

13.

Кінетична енергія матеріальної точки
mv2
T
2
E T П
Векторна форма завдання руху
T
r r (t )
v r
m
m
v v v2
2
2
Координатна форма завдання руху x x(t ), y y(t ), z z (t )
T
Натуральна форма
m 2
x y 2 z 2
2
s s(t )
v x 2 y 2 z 2
v s (t )
m 2
T s
2
13

14.

Теорема про зміну кінетичної енергії матеріальної точки
m const
v1
v
M
F
M1
dv
m
F
dt
dv
m dr F dr
dt
d ' A F dr
d F r dF r F dr
14

15.

Теорема про зміну кінетичної енергії матеріальної точки
m
dv
dr
dr m dv
dt
dt
mv dv mv dv cos0 mv dv
mv 2
m
d
2v dv
2
2
mv dv
mv 2
dv
m dr d
dt
2
15

16.

Теорема про зміну кінетичної енергії матеріальної точки
в диференціальній формі:
mv 2
d' A
d
2
dT d ' A
M
d ' A F dr A
M1
Теорема про зміну кінетичної енергії матеріальної точки
в інтегральній формі:
T T0 A
m 2 2
v v0 A
2
16
English     Русский Правила