Лекція 13 Рух невільної матеріальної точки. Принцип Даламбера
500.38K

ДРФ л13

1. Лекція 13 Рух невільної матеріальної точки. Принцип Даламбера

1

2.

невільний рух матеріальної точки у векторній формі
mw F R
Невільний рух матеріальної точки в координатній формі
m x Fx Rx
m y Fy R y
m z Fz Rz
Невільний рух матеріальної точки в натуральній формі
mw F R
mwn Fn Rn
mwb Fb Rb
dv
,
dt
v2
wn
w
wb 0
m
m
dv
F R
dt
v2
Fn Rn
0 Fb Rb
2

3.

Принцип Даламбера для матеріальної точки (метод кінетостатики)
mw F R
F
Ф
F R mw 0
w
R
F R
Ф mw
F R Ф 0
R ( F Ф) mw F
3

4.

Жан Леро́н Д’Аламбе́р
Jean Le Rond D'Alembert, d'Alembert
1717-1783
4

5.

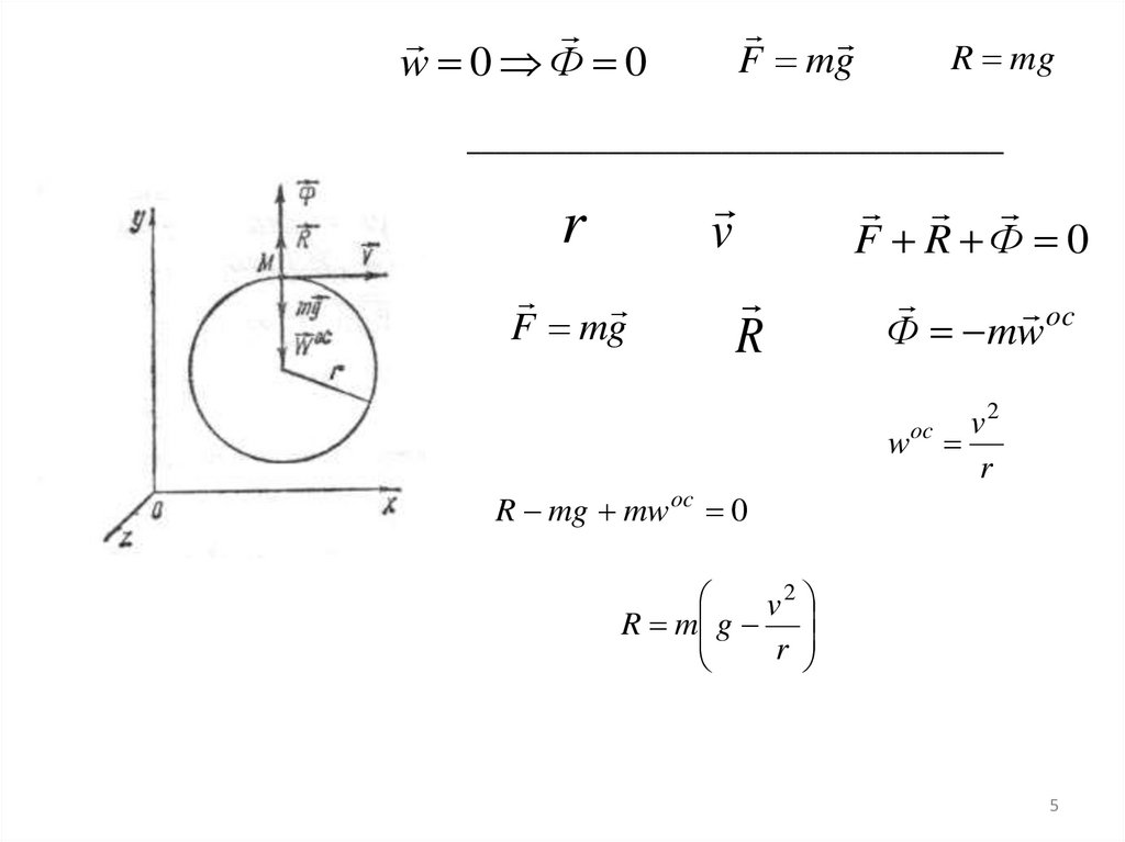
w 0 Ф 0
F mg
R mg
______________________________________
r
v
F mg
R
F R Ф 0
oc
Ф mw
w
oc
v2
r
R mg mw oc 0
2
v
R m g
r
5

6.

6

7.

R 0
v2
g
0
r
v 2 62500
r
6,37 км
g
9.8
v 900 км/час 250 м/с
v r
g
r
T 2
g
T 2
v Rg
2r 2
r
r R
R
g
T 6,28
0
g
r
R 6371км
6371000
5063,5сек 84,4мин
9,8
v 6371000 м 9,8 м / с 2 7,9км /с
7

8.

У нижній точці М
woc
v
R
mg
F mg
R
oc
Ф mw
mg mw oc R 0
2
v
R m g
r
Ф
v 900 км/час 250 м/с, r 6,4 km;
R 2mg
v 900 км/час 250 м/с, r 3 km;
R 3mg
v 900 км/час 250 м/с, r 1 km;
R 7mg
8

9.

Динаміка відносного
руху матеріальної
точки
9

10.

Основне рівняння динаміки відносного руху вільної матеріальної точки
Теорема Коріоліса
mw F
w we wr wc .
mwe mwr mwc F
mwr F mwe mwc
mwr F Фе Фс
Фе mwe , Фс mwc
mwr F R Фе Фс
m x Fx Rx Феx Фс x ;
m y Fy R y Фе y Фс y ;
m z Fz Rz Феz Фс z .
10

11.

Окремі випадки відносного руху матеріальної точки
1) рівномірний прямолінійний рух:
vr const
wr 0
F R Фе Фс 0
2) Стан спокою:
vr 0
wr 0
wc 2 vr 0
Фс 0
F R Фе 0
11

12.

3) Система координат Oxyz здійснює поступальний рух
0
Фс 0
wc 2 vr 0
mwr F R Фе
4) Система координат Oxyz - інерціальна
we 0
ve const
Фе 0, Фс 0
0
mwr F R
12

13.

Теорема про зміну кінетичної енергії у відносному русі точки
mwr F R Фе Фс
dvr
m
F R Фе 2m vr
dt
dvr
mvr
F vr R vr Фе vr 2m vr vr
dt
dvr 1 d
d
mvr
mvr2 Tr
dt 2 dt
dt
N F F vr , N R R vr , N e Фе vr
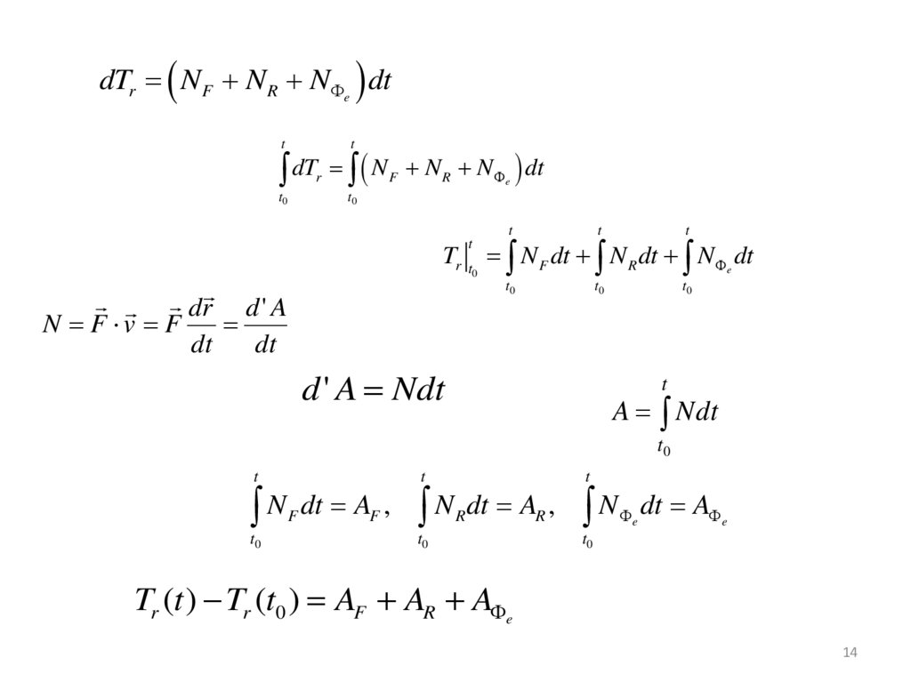
dTr
N F N R N e
dt
13

14.

dTr N F N R N e dt
t
t
dT N N N dt
r
t0
F
e
R
t0
t
t
t
t0
t0
t0
Tr t N F dt N R dt N e dt
t
0
dr d ' A
N F v F
dt
dt
d ' A Ndt
t
A Ndt
t0
t
t
t
N dt A , N dt A , N dt A
F
t0
F
R
t0
e
R
e
t0
Tr (t ) Tr (t0 ) AF AR A e
14
English     Русский Правила