ИДЗ-4 Применение уравнений Лагранжа 2-го рода к исследованию движения системы с двумя степенями свободы
1.04M
Категория: ФизикаФизика

Пример ИДЗ-4

1. ИДЗ-4 Применение уравнений Лагранжа 2-го рода к исследованию движения системы с двумя степенями свободы

2.

3.

3
1
Обобщенные координаты q1 ,q3

4.

Уравнения Лагранжа 2-го рода:
d T T
Q1
dt q 1 q1
(1)
d T T
Q3
dt q 3 q3

5.

Кинетическая энергия системы:
T T1 T2 T3
(2)

6.

Кинетическая энергия системы:
T T1 T2 T3
(2)
Тела 1 и 2 совершают вращательное движение:
T1 T2
2
J1q 1
2
m1 2r
2
J1
2 2
T1 T2 m1r q 1
2
2m1r
2
(3)

7.

Тело 3 движется плоскопараллельно:
T3
2
m3V3
2
2
J 3q 3
2
m3r
J3
2
2

8.

Тело 3 движется плоскопараллельно:
T3
2
m3V3
2
2
J 3q 3
2
m3r
J3
2
2
V3 2rq 1 rq 3
T3 m3r
2
3 2
2
2q 1 2q 1q 3 q 3
4
(4)

9.

Кинетическая энергия системы:
2 2
T 2T1 T3 2m1r q 1
(5)
m3r
2
3 2
2
2q 1 2q 1q 3 q 3
4

10.

Виртуальную работу совершает только момент М
A M q1
Обобщенные силы:
Q1 M ,
Q2 0
(6)

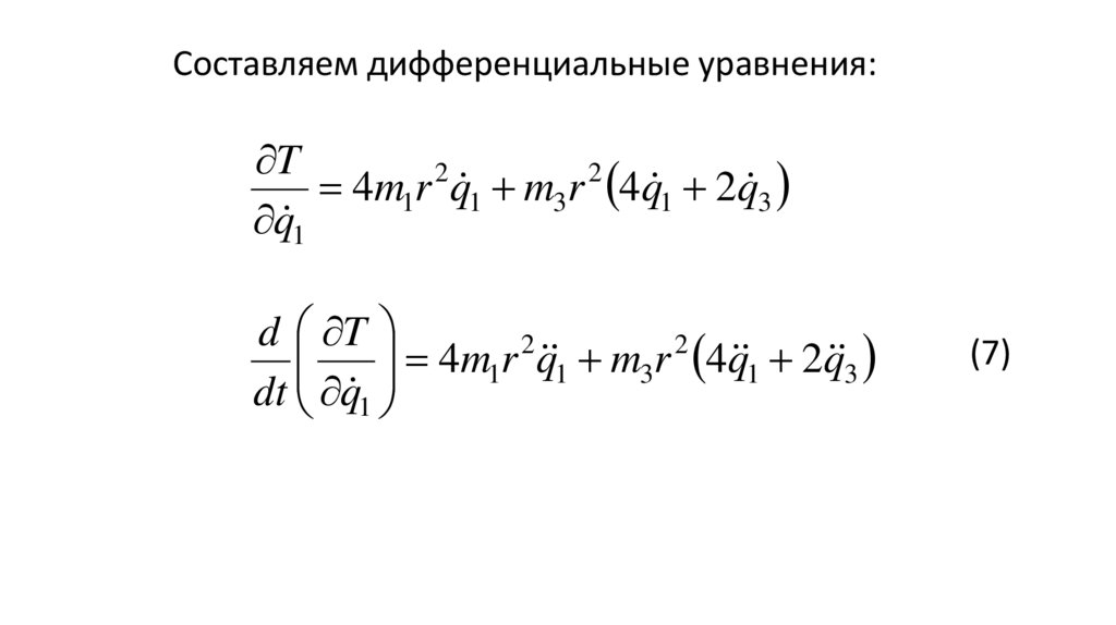
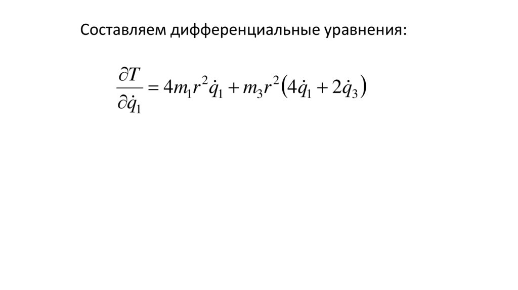
11.

Составляем дифференциальные уравнения:
T
2
2
4m1r q 1 m3r 4q 1 2q 3
q 1

12.

Составляем дифференциальные уравнения:
T
2
2
4m1r q 1 m3r 4q 1 2q 3
q 1
d T
4m1r 2 q 1 m3r 2 4q 1 2q 3
dt q 1
(7)

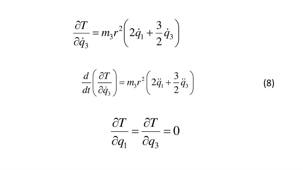
13.

T
3
2
m3r 2q 1 q 3
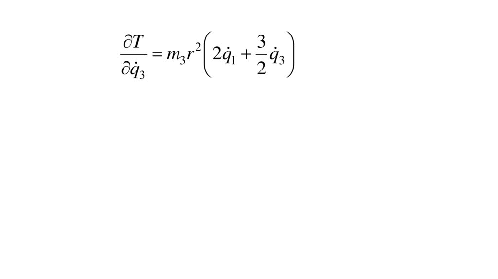
q 3
2

14.

T
3
2
m3r 2q 1 q 3
q 3
2
d T
3
2
m3r 2q1 q3
dt q3
2
T T
0
q1 q3
(8)

15.

Дифференциальные уравнения движения системы
с двумя степенями свободы:
4m1r q 1 m3r 4q 1 2q 3 М
2
2
2
3
m3r 2q 1 q 3 0
2
(9)
English     Русский Правила