1.22M
Категория: МатематикаМатематика

3сем_Лк 5_Компл ч

1.

Первое высшее техническое учебное заведение России
Санкт-Петербургский горный университет императрицы Екатерины II
ЛЕКЦИЯ 6
Комплексные числа
22.12.2025
1|15

2.

Содержание лекции
• Определение комплексного числа (к.ч.);
• Формы представления к.ч.;
• Свойства операций над к.ч.
2|15

3.

Комплексное число (к.ч.)
z = x + iy, где x, y R,
i – символ мнимая единица,
i 2 = − 1.
Множество всех к.ч. – С
x – вещественная часть к.ч. z
x = Re z
y — мнимая часть к.ч. z
y = Im z.
К.ч. , у которых мнимая часть Im z = 0 – чисто вещественные
К.ч., у которых вещественная часть Re z = 0 – чисто мнимые.
Число z x iy
Очевидно:
– комплексно-сопряженное числу z = x + iy.
Re z Re z , Im z Im z .
z = x + iy – алгебраическая форма
к.ч.
3|15
R
C.

4.

Комплексная плоскость
К.ч. z = x + iy взаимно–однозначно
соответствует точка M(x,y) на плоскости
Декартова прямоугольная
система координат Oxy.
Ось Ox вещественная – располагаются
чисто вещественные числа z = x + 0 i =x
у
Ось Oy мнимая – располагаются
чисто мнимые числа z = 0 + iy = iy
Радиус-вектор точки M(x,y) – изображение к.ч.
Модуль к.ч. – длина вектора : r z OM
x2 y2
Аргумент к.ч. z – угол между положительным направлением оси Ox иOM
Argz, где Arg z .
4|15

5.

Наименьшее по модулю значение аргумента
– главное значение: arg z =
Arg z arg z 2 k ,
arg z
Тригонометрическая
z x iy
форма к.ч.
r cos
r sin
Действия с к.ч.
Два к.ч.z1 x1 iy1 ; z2 x2 iy2
равны
r cos i sin
k Z.
y
tg
x
x1 x2 ;
z1 z 2
y1 y2 .
Сумма (разность) к.ч. - число вида:
z1 z 2 x1 iy1 x 2 iy 2 x1 x 2 y1 y 2 i
5|15

6.

1 2
Произведение к.ч. – число вида: z z
x1 y1i x2 y 2 i
x1 x 2 x1 y 2 i x 2 y1i y1 y 2 i 2 x1 x2 y1 y2 x1 y2 x2 y1 i
Для комплексно-сопряженных чисел получим:
z z x iy x iy 2 x 2 Re z
z z x iy x iy 2iy 2i Im z
z z x iy x iy x i y x y
2
2
2
2
2
x1 iy1 x2 iy 2
z1
x1 iy1
Частное к.ч. – число вида:
z 2 x 2 iy 2 x 2 iy 2 x 2 iy 2
x1 x 2 ix1 y 2 iy1 x 2 i 2 y1 y 2
x 22 i 2 y 22
x1x2 y1 y2 i x2 y1 x1 y2
z1
x1 x 2 y1 y 2
i
2
2
z2
x2 y2
x22 y22
x 2 y1 x1 y 2
6|15
x 22 y 22

7.

Свойства действий сложения и умножения
1. z1 z2 z2 z1 - коммутативность сложения.
2. z1 z2 z3 z1 z2 z3 - ассоциативность сложения.
3. 0 0 0i : z z 0 z - существование нулевого элемента.
4. z ( z ) : z z 0 - существование противоположного элемента.
5. z1 z2 z2 z1 - коммутативность умножения.
6. z1 z 2 z 3 z1 z 2 z 3 - ассоциативность умножения.
7. ( z1 z 2 ) z 3 z1 z 3 z 2 z 3 - дистрибутивность.
8. 1 : z z 1 z - существование единицы.
9. z 0 z 1 : z z 1 1 - существование обратного элемента.
7|15

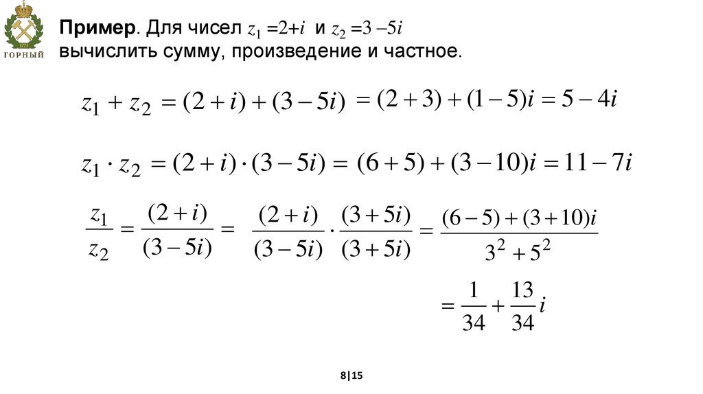
8.

Пример. Для чисел z1 =2+i и z2 =3 –5i
вычислить сумму, произведение и частное.
z1 z 2 (2 i ) (3 5i ) (2 3) (1 5)i 5 4i
z1 z 2 (2 i ) (3 5i ) (6 5) (3 10)i 11 7i
z1
(2 i )
(2 i ) (3 5i ) (6 5) (3 10)i
2
2
z 2 (3 5i )
(3 5i ) (3 5i )
3 5
1 13
i
34 34
8|15

9.

Действия с к.ч. в тригонометрической форме
z r cos i sin
z1 z 2 r1 cos 1 i sin 1 r2 cos 2 i sin 2
r r cos cos i cos sin i cos sin i sin sin
2
1 2
1
2
1
2
2
1
1
2
r1r2 ((cos 1 cos 2 sin 2 sin 1 ) i (cos 1 sin 2 cos 2 sin 1 ))
sin 1 2
cos 1 2
r1r2 cos 1 2 i sin 1 2
z1 z2 z1 z2
Arg z1 z 2 arg z1 arg z 2 2 k
9|15
k Z

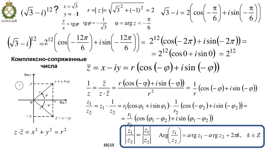
10.

х 3
12 ?
( 3 i)
y = –1
r | z |
1
y
tg tg
3
x
3 i
12
3 i 2 cos i sin
6
6
2
3 ( 1) 2 2
arg z
6
12
12 212 cos 2 i sin 2
i sin
2 cos
6
6
12
12
12
Комплексно-сопряженные
числа
z x iy r
2
cos 0 i sin 0 2
cos i sin
r cos i sin 1
1
z
cos i sin
2
z z z
r
r
z
z z x y r
2
2
2
z1
1
1
z1
r1 cos 1 i sin 1 cos 2 i sin 2
z2
z2
r2
r1
cos 1 2 i sin 1 2
r2
10|15
z1
z1
z2
z2
z1
Arg а rg z1 а rg z 2 2 k , k Z
z2

11.

Корень из к.ч.
Извлечь корень целой положительной степени n из к.ч z –
это найти такое к.ч. w z , чтобы выполнялось равенство w z.
n
n
Если z r cos i sin , то найти w
cos i sin
w cos n i sin n r cos i sin
n
n
Из равенства двух к.ч.:
r r
n
n
n 2 k , k Z
2 k
n
формула Муавра:
n
2 k
2 k
z r cos
i sin
, k 0, 1, , , n 1
n
n
n
11|15
, k Z

12.

Пример. Найти
3
i
i 1, arg i / 2
k 0
3
k 1
n
2 k
2 k
z r cos
i sin
, k 0, 1, , , n 1
n
n
n
2k
2k
3
,
i 3 1 cos 2
i sin 2
3
3
1
3
i 0 cos i sin
i
6
6
2
2
k 0, 1, 2
3
k 2
5
5
3
1
i 1 cos i sin
i
6
6
2
2
3
9
9
i 2 cos i sin
i
6
6
12|15

13.

Показательная форма к.ч.
Формула
Эйлера:
e
i
e
cos i sin
показательная форма к.ч. : z r cos i sin
i
i
1
e 2 i
re ,
i
r z , arg z.
где
Действия над к.ч. в показательной форме – обычные правила алгебры.
Пример: a e 2 3i e 2 e 3i
a b e
2
2 3i
25e
1 i 2
5e
1 i
b 5e
2 3i
e
5ee
2 1 i
13|15
1i
2 2 3 2 i 25e 4 i 25e 4 e i
25e

14.

Квадратные уравнения с вещественными
коэффициентами
az bz c 0
2
b b 4ac
z1, 2
2a
2
Найти корни уравнения
z 2z 2 0
2
2 4 8 2 2 1
z1, 2
1 i
2
2
14|15
1 i

15.

Спасибо за внимание
Санкт-Петербургский горный
университет
императрицы Екатерины II,
199106, г. Санкт-Петербург,
Малый пр. В.О., д. 83
Тел.: +7(812) 328-82-98;
15|15
English     Русский Правила