1.09M

ТОЭ лекция 7

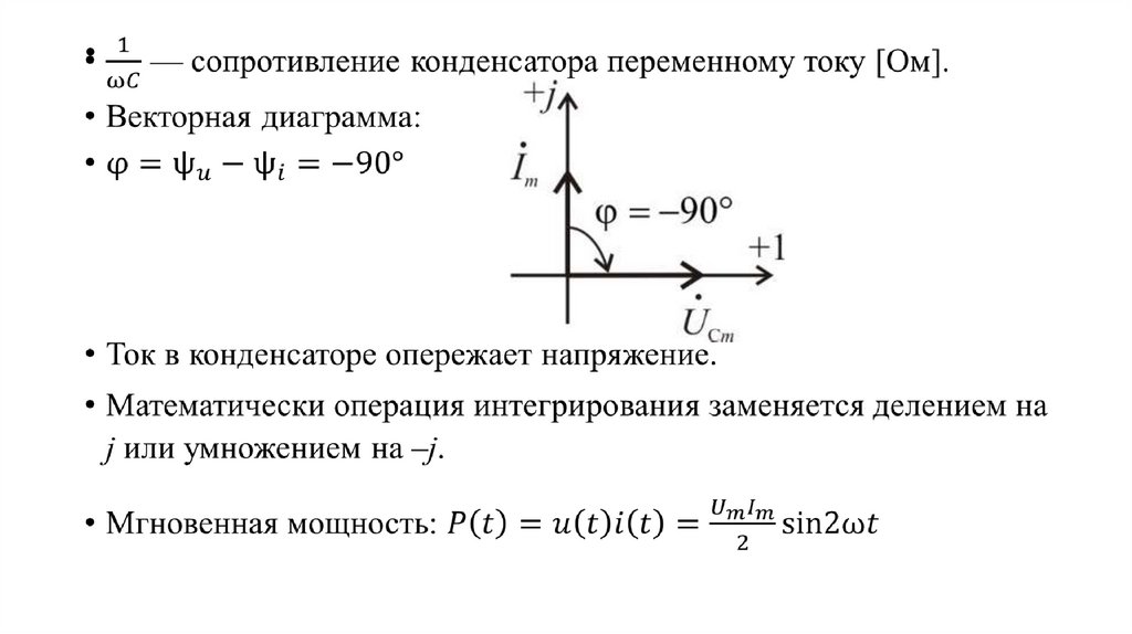
1.

Лекция 7
Элементы цепей синусоидального тока

2.


3.

Мгновенная мощность:

4.


5.


6.

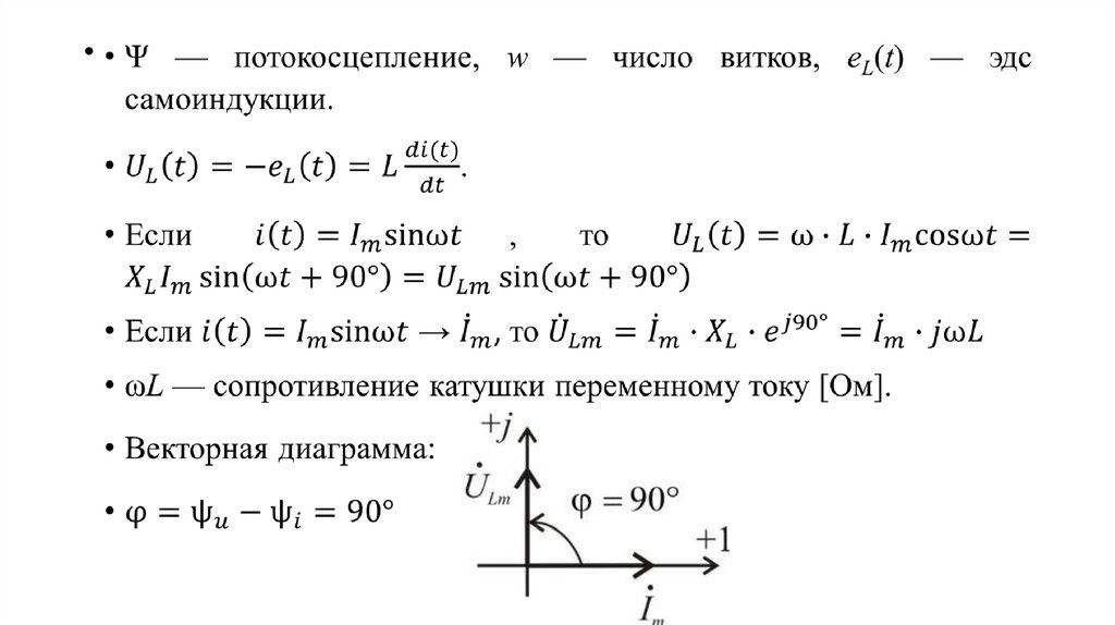
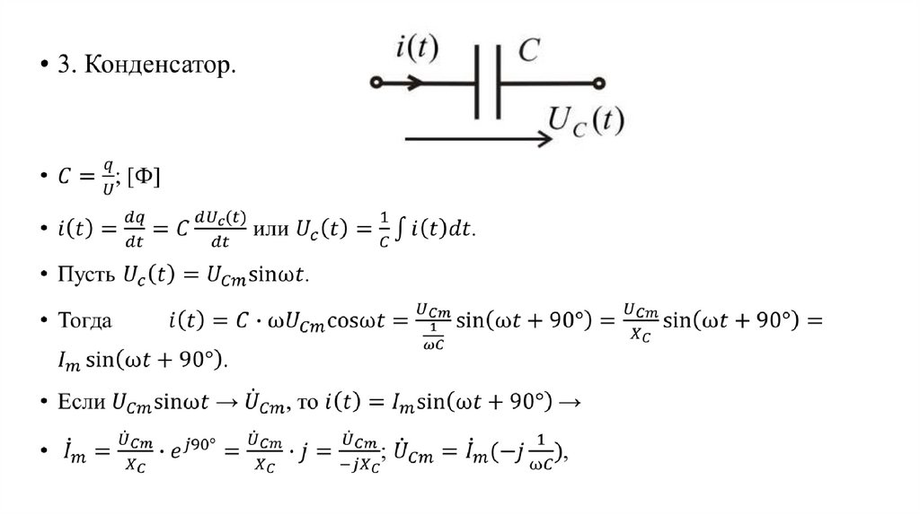
4. Катушка индуктивности.

7.


8.


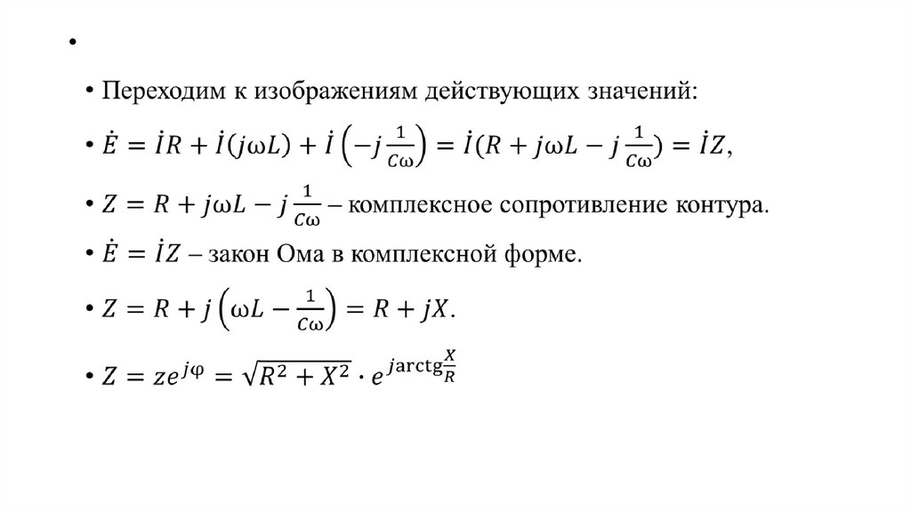
Комплексное сопротивление электрической цепи

9.


10.


11.


12.


13.


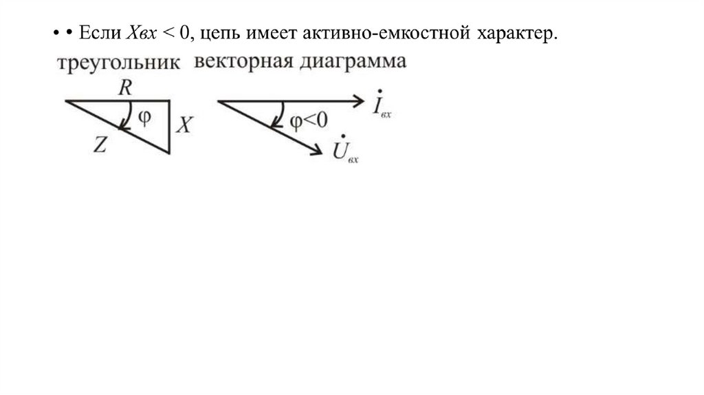
Если Xвх > 0, цепь имеет активно-индуктивный характер.

14.


15.


16.


17.


18.


19.


20.


English     Русский Правила