13.79M

тема_5 c_1

1.

Число Маха M
Влияние сжимаемости
дозвук
ρ=const
околозвук
сверхзвук
гиперзвук
ρ=var
1
0
0.3-0.4
Мкр
1.1-1.3
4-5
Артамонова ЛГ методичка Основы Аэродинамики 2016.стр . 52-53
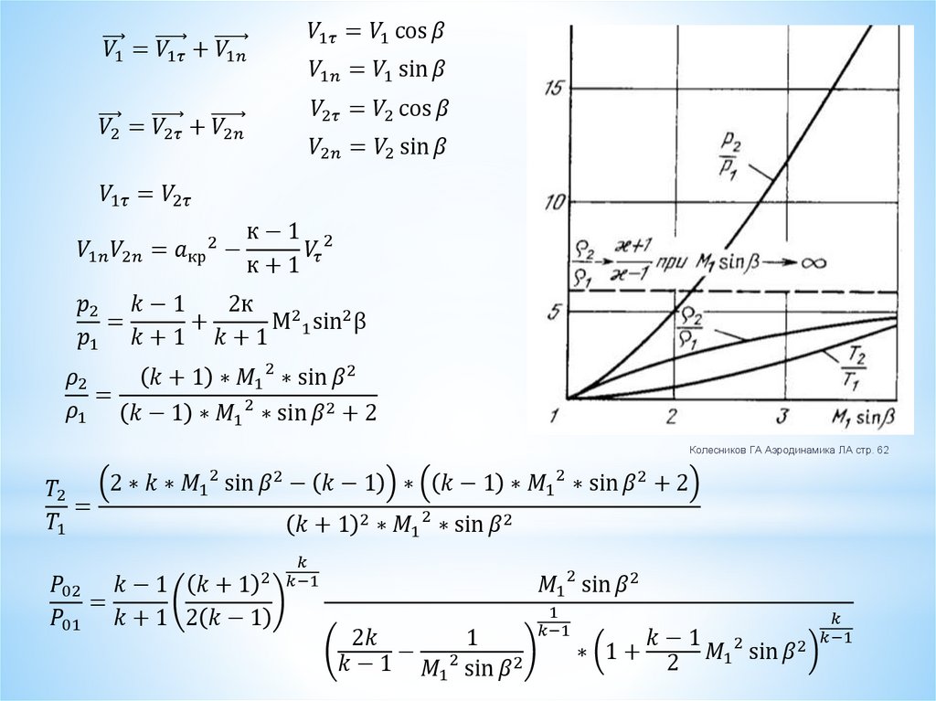
Колесников ГА Аэродинамика летательных аппаратов стр. 19 рис. 1.2
Аэрогидромеханика Бондарев Е.Н. Дубасов В.Т. Рыжов Ю.А. Сверщевский С.Б. Семенчиков Н.В. 1993 стр 7; Лекции Л.Г. Артамоновой 2006
М
V
a

2.

Уравнение Эйлера
English     Русский Правила