Комплек сандар
i^2=-1
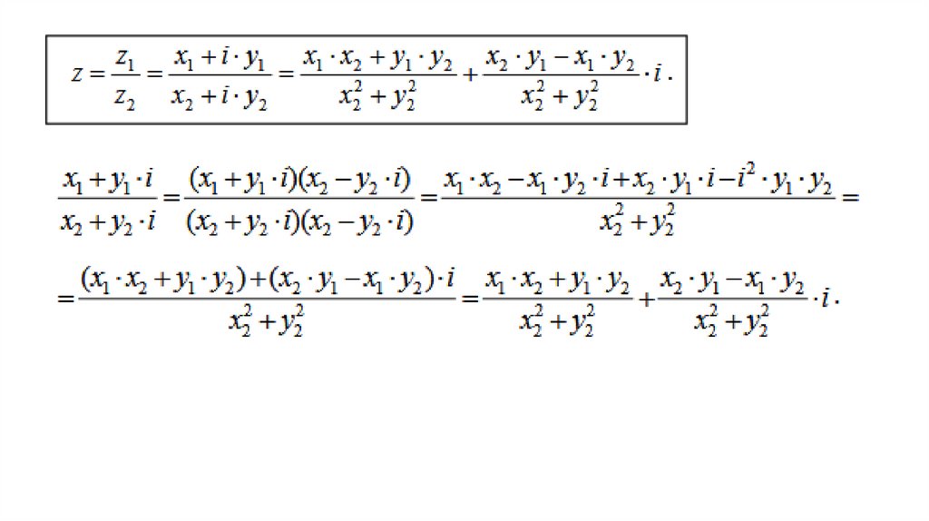
Комплекс сандарға орындалатын амалдар
Мысал, теңдеуден х, у мәнін тап
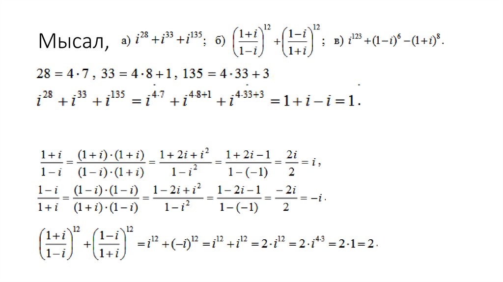
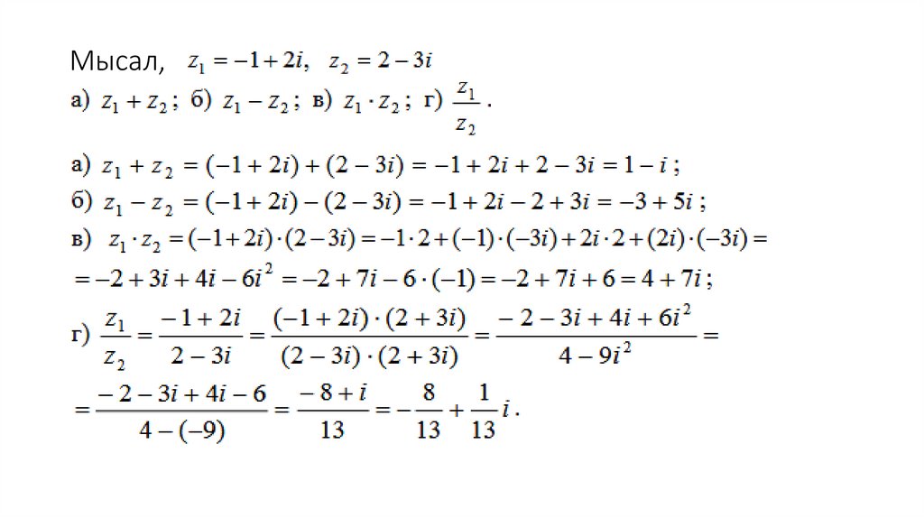
Мысал,
Мысал,
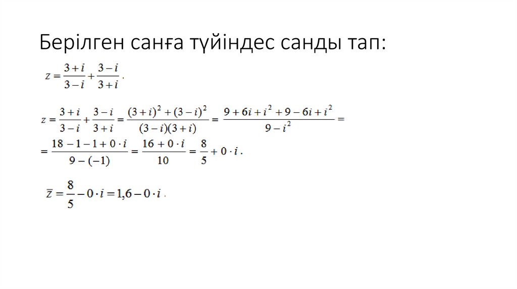
Берілген санға түйіндес санды тап:
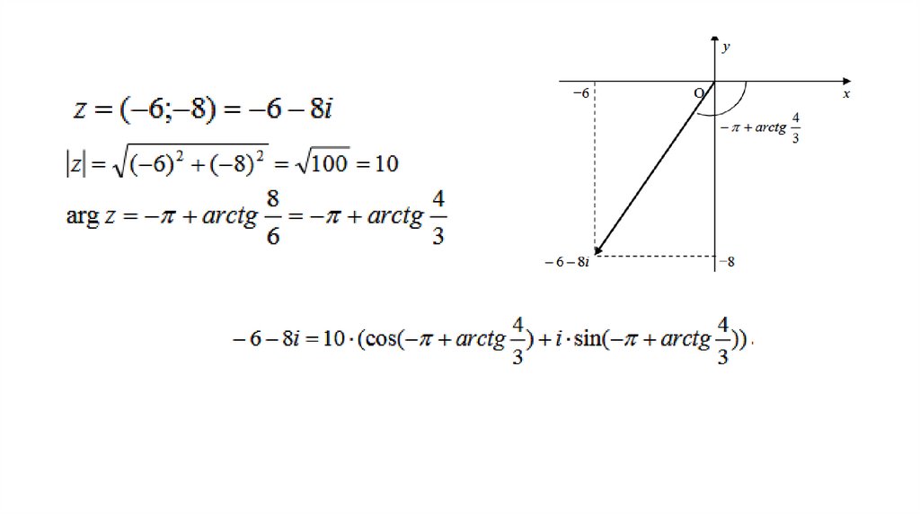
Мысал,
Тригонометриялық форма
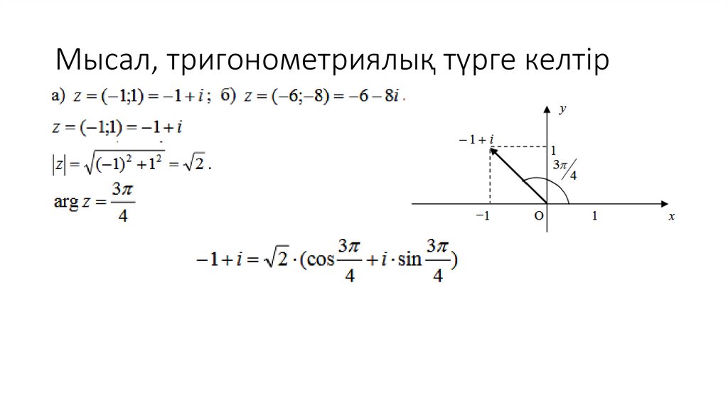
Мысал, тригонометриялық түрге келтір
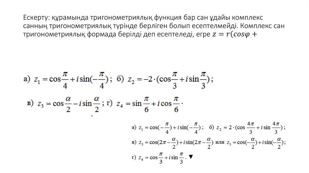
Ескерту: құрамында тригонометриялық функция бар сан ұдайы комплекс санның тригонометриялық түрінде берліген болып есептелмейді.
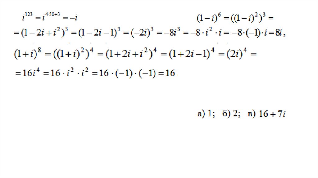
Комплекс санның дәрежесі. Муавр формуласы
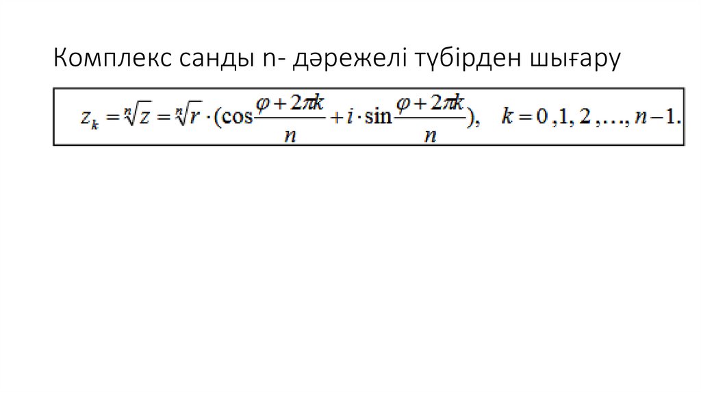
Комплекс санды n- дәрежелі түбірден шығару
Мысал, z^4=16i болатын барлық z мәндерін тап?
Мысал, z^4=-1 болатын барлық z мәндерін тап?
Ньютон биномы
Паскаль үшбұрышы
607.43K

file-57

1. Комплек сандар

2. i^2=-1

2
English     Русский Правила