Практическая работа по теме «КОМПЛЕКСНЫЕ ЧИСЛА»
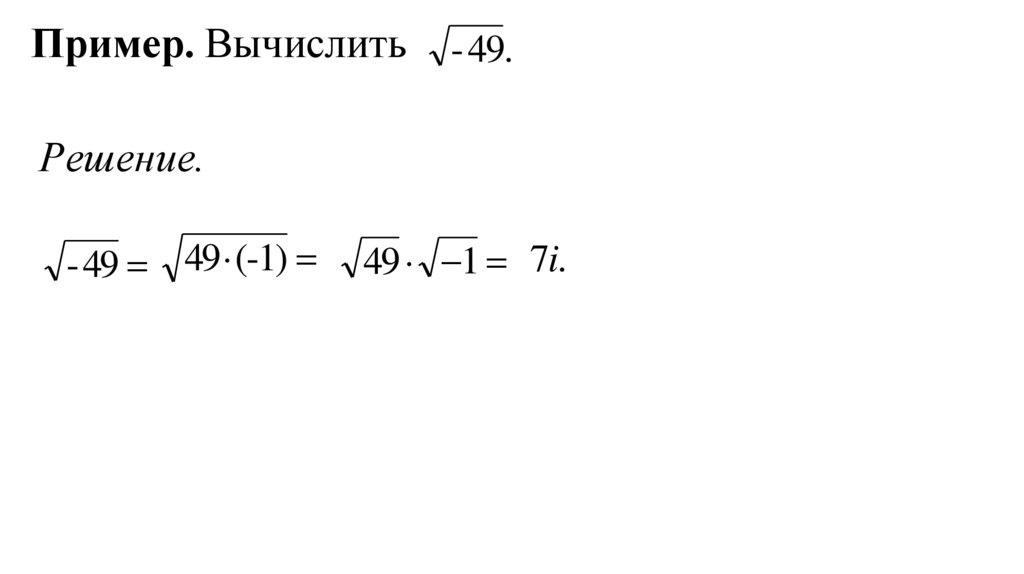
Пример. Вычислить
Изображается комплексное число z=x+iy плоскости XOY или радиус - вектором ОМ т.М. Такая плоскость называется комплексной,
Действия над комплексными числами в алгебраической форме
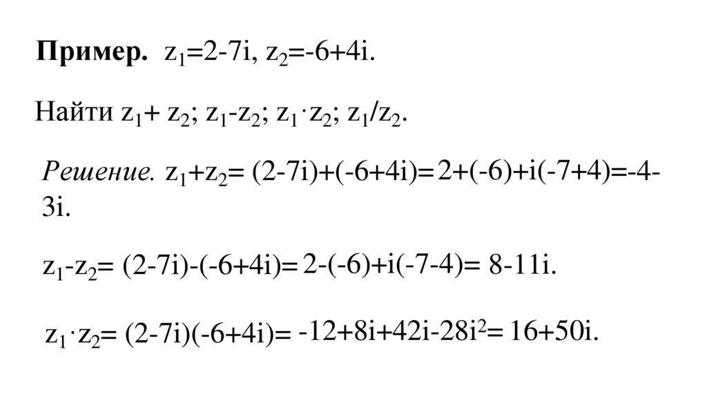
z1=2-7i, z2=-6+4i.
Пример. z1=2-7i, z2=-6+4i.
z  2  3i  7  19 i. 4-5i 41 41
z  2  3i  7  19 i  2  3i4  5i  7  19 i 
 8-15  i(10 12 )  7  19 i  41 41 41
Тригонометрическая и показательная форма комплексного числа
Тригонометрическая форма комплексного числа
Показательная форма комплексного числа
z  3  i
z  3  i .
Пусть z1=r1 ei1 , z2=r2 ei 2
1 i 3  i.
z2  3  i
z = 2cos 7  i sin 7 
100.91K
Категория: МатематикаМатематика

Комплексные числа. Практическая работа

1. Практическая работа по теме «КОМПЛЕКСНЫЕ ЧИСЛА»

2.

Алгебраическая форма комплексного числа,
его изображение на комплексной плоскости
z2+1=0
z= i-решения уравнения, где
i 1
Определение. Комплексным числом (к.ч.) называют
выражение x+iy, где x,y R, i2= -1.
z=x+iy - алгебраическая форма записи комплексного числа,
x- действительная часть (Rez),
y-мнимая (Imz) часть комплексного числа.
Комплексное число z=yi (при х=0) называется чисто мнимым.
Множество всех комплексных чисел обозначают
C={z:z=x+iy,x,y R},(R C).

3. Пример. Вычислить

-49.
Решение.
-49 49 (-1)
49 1 7i.

4. Изображается комплексное число z=x+iy плоскости XOY или радиус - вектором ОМ т.М. Такая плоскость называется комплексной,

Изображается
комплексное число
z=x+iy
точкой
M(x,y)
плоскости XOY или радиус - вектором ОМ т.М.
Такая плоскость называется комплексной,
ОХ - действительной, OY – мнимой осями.
Y
M(z)
X
Числа z=x+iy и z=x - iy называются комплексно-сопряженными
Например, z=-3+2i и z=-3-2i.

5. Действия над комплексными числами в алгебраической форме

Пусть z1=x1+iy1, z2=x2+iy2.
1) Сложение комплексных чисел:
z1+z2=(x1+х2)+i(y1+y2).
2) Вычитание комплексных чисел: z=z1-z2 z+z2=z1.
z1-z2=( x1-x2)+i(y1-y2).
3) Умножение комплексных чисел:
z1z2=(x1+iy1)(x2+iy2)=( x1x2- y1y2)+i(x1y2+ x2 y1).
4) Деление комплексных чисел:
z1 z1z2
.
z2 z2 z2

6.

Пример. z1=2-7i, z2=-6+4i.
Найти z1+ z2; z1-z2; z1·z2; z1/z2.
Решение. z1+z2= (2-7i)+(-6+4i)= 2+(-6)+i(-7+4)=-43i.
z1-z2= (2-7i)-(-6+4i)= 2-(-6)+i(-7-4)= 8-11i.
2= 16+50i.
-12+8i+42i-28i
z1·z2= (2-7i)(-6+4i)=

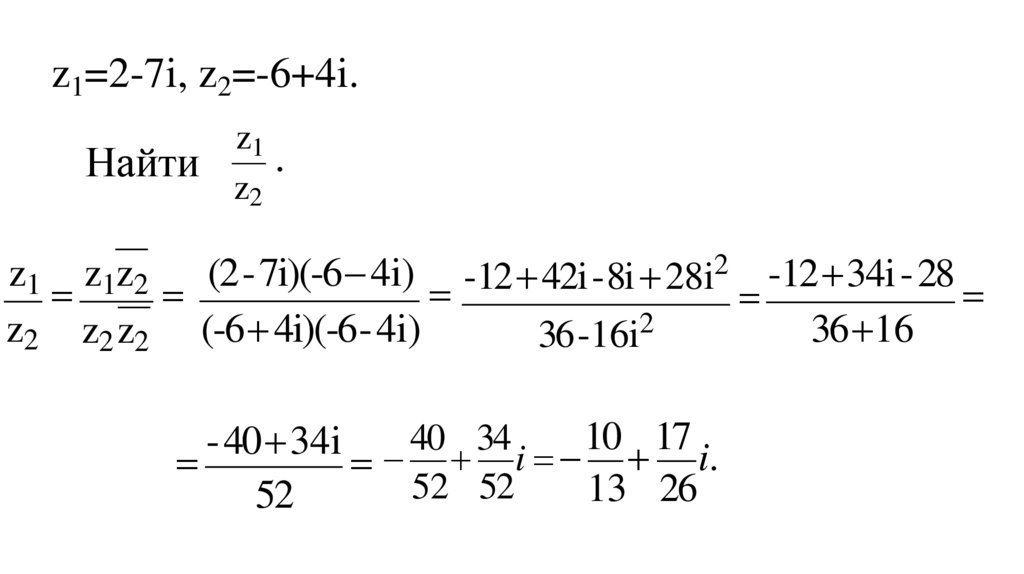
7. z1=2-7i, z2=-6+4i.

Найти
z1
.
z2
z1 z1z2 (2-7i)(-6 4i) -12 42i-8i 28i2 -12 34i -28
z2 z2 z2 (-6 4i)(-6-4i)
36 16
36-16i2
-40 34i 40 34 i 10 17 i.
52 52
13 26
52

8. Пример. z1=2-7i, z2=-6+4i.

z1
Найти
.
z2
Решение.
z1 z1z2
z2 z2 z2
(2-7i)(-6 4i) 40 34 i 10 17 i.
13 26
52 52
(-6 4i)(-6-4i)
z1
10 17
i.
z2
13 26

9.

7
4i
Пример. Записать в алгебраической форме
.
1 3i
7 4i
7 4i 1 3i
1 3i
1 3i 1 3i
2
7 21i 4i 1 2 i
1 9
5 25i
1 5
i.
10
2 2

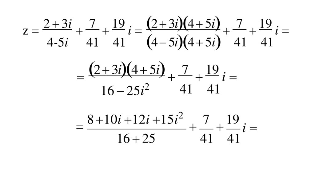
10. z  2  3i  7  19 i. 4-5i 41 41

Пример. Записать в алгебраической форме
(выполнить действия)
2 3i 7 19
z
i.
4-5i 41 41
Решение. Применим правила умножения, деления и
сложения комплексных чисел в алгебраической форме:

11. z  2  3i  7  19 i  2  3i4  5i  7  19 i 

2 3i 7 19
2 3i 4 5i 7 19
z
i
i
4 5i 4 5i 41 41
4-5i 41 41
2 3i 4 5i 7 19
i
2
16 25i
41
41
8 10i 12i 15i
7 19
i
16 25
41 41
2

12.  8-15  i(10 12 )  7  19 i  41 41 41

8-15 i(10 12 ) 7 19
i
41
41 41
7
41
22
41
i
7
41
19
41
i
41
41
i i.

13. Тригонометрическая и показательная форма комплексного числа

Изобразим комплексное число z=x+iy радиус-вектором OM на
комплексной плоскости.
|OM|=r=|z| - модуль комплексного числа,
- угол между осью OX и радиус-вектором ОМ, отсчитываемый
в положительном направлении,
= Argz - аргумент комплексного числа.
Главным значением Argz назовем argz, удовлетворяющее
Y
неравенствам 0 argz 2 или - argz .
М(z)
Тогда Argz=argz+2k , k Z.
X

14. Тригонометрическая форма комплексного числа

z=r(cos +isin )
y
r = x y , tg
x
2
2

15.

Пример. z=-2-2i записать в тригонометрической форме
r = (-2)2 ( 2)2 = 2 2,
y
5
tg 1 ;
x
4
z=r(cos +isin )
z 2 2(cos
5
4
isin
5
4
).

16.

Формула Эйлера
ei =cos +isin

17. Показательная форма комплексного числа

z=rei

18. z  3  i

Пример. Записать в показательной форме
z 3 i
Решение.
Найдем модуль комплексного числа z:
r=
2
2
х у
(
2
2
3) 1 2.

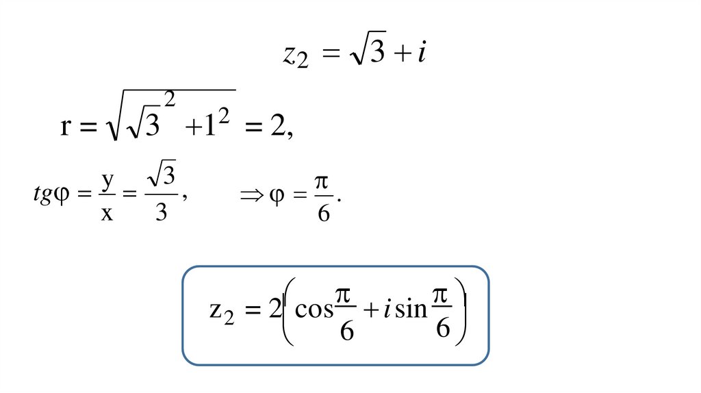
19. z  3  i .

Пример. Записать в показательной форме
Решение.
Найдем модуль комплексного числа z:
r = х 2 у 2 ( 3)2 12 2.
Вычислим аргумент М1 I четверти.
3
y
1
, ;
tg
x
3
6
3
i
6
z re 2e
i
z 3 i .

20.

Умножение и деление комплексных чисел в
тригонометрической форме
Пусть z1=r1(cos 1+isin 1), z2=r2(cos 2+isin 2).
1) Умножение комплексных чисел:
z1z2= r1r2(cos( 1+ 2)+isin( 1+ 2))
2) Деление
комплексных чисел:
z1 r1
cos 1 2 isin 1 2
z2 r2

21. Пусть z1=r1 ei1 , z2=r2 ei 2

Умножение и деление комплексных числе в
показательной форме
Пусть z1=r1 ei 1 , z2=r2 ei 2
1) Умножение
комплексных чисел:
z1 z2 r1 e
i 1
2) Деление
r2 e
i 2
r1 r2 e
комплексных чисел:
i
i 1 2
z1 r1e 1 r1 i( 1 2 )
e
.
i
z2 r2e 2 r2

22. 1 i 3  i.

Пример. Используя тригонометрическую форму комплексного
числа, выполнить указанные действия 1 i 3 i .
Решение.
z1 1 i;
М1(1;–1) IV четверти.
r = 12 ( 1)2 = 2,
y
tg 1,
x
7
.
4
7
7
z1 = 2 cos
i sin
4
4

23. z2  3  i

z2 3 i
2
r=
3
2
1 = 2,
3
y
,
tg
x
3
.
6
z 2 = 2 cos i sin
6
6

24. z = 2cos 7  i sin 7 

7
7
z1 = 2 cos
i sin
4
4
z 2 = 2 cos i sin
6
6
z1z2= r1r2(cos( 1+ 2)+isin( 1+ 2))
7
7
z1 z 2 = 2 2 cos
i sin
6 4
6 4

25.

z1z2= r1r2(cos( 1+ 2)+isin( 1+ 2))
7
7
z1 z 2 = 2 2 cos i sin
6 4
6 4
23
23
2 2 cos
i sin
.
12
12
English     Русский Правила