Методы получения нафтиридинов (всех изомеров)
Нафтиридины
Циклизация с образованием пиридинового кольца.
Циклизация производных 2-аминопиридина: 1,8-нафтиридины
Синтезы на основе ЭММЭ
Синтезы на основе ß-кетоэфиров. Методы Кнорра и Конрада-Лимпаха
Синтез на основе ß-дикетонов. Метод Комба.
Циклизация производных 3-аминопиридина: 1,5-нафтиридины. Метод с применением ЭММЭ.
Реакция Скраупа.
Реакция Дёбнера-Миллера.
Циклизация производных 4-аминопиридина: 1,6-нафтиридины. Метод на основе ЭММЭ.
Циклизация орто-дизамещенных соединений. Синтезы на основе о-аминопиридинкарбоновых кислот или антраниловой кислоты. Метод
Синтезы с антраниловым альдегидом. Реакция Фридлендера.
Внутримолекулярные синтезы с образованием лактама.
Разнообразные синтезы.
534.68K
Категория: ХимияХимия

Методы получения нафтиридинов (всех изомеров)

1. Методы получения нафтиридинов (всех изомеров)

Выполнила
Хлуднева Л.

2. Нафтиридины

3. Циклизация с образованием пиридинового кольца.

4. Циклизация производных 2-аминопиридина: 1,8-нафтиридины

5. Синтезы на основе ЭММЭ

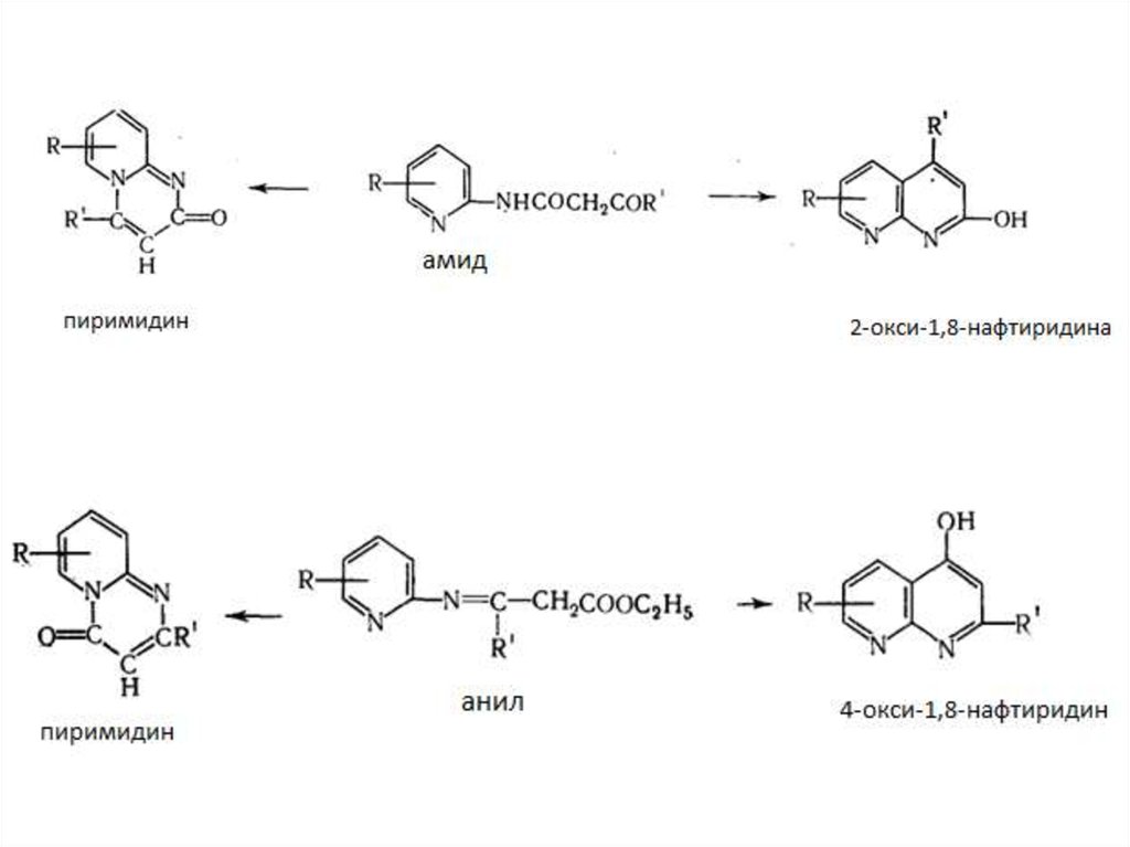
6. Синтезы на основе ß-кетоэфиров. Методы Кнорра и Конрада-Лимпаха

7.

8. Синтез на основе ß-дикетонов. Метод Комба.

9. Циклизация производных 3-аминопиридина: 1,5-нафтиридины. Метод с применением ЭММЭ.

10. Реакция Скраупа.

11. Реакция Дёбнера-Миллера.

12. Циклизация производных 4-аминопиридина: 1,6-нафтиридины. Метод на основе ЭММЭ.

Циклизация производных 4-аминопиридина: 1,6нафтиридины.
Метод на основе ЭММЭ.

13. Циклизация орто-дизамещенных соединений. Синтезы на основе о-аминопиридинкарбоновых кислот или антраниловой кислоты. Метод

Ниментовского.

14. Синтезы с антраниловым альдегидом. Реакция Фридлендера.

15. Внутримолекулярные синтезы с образованием лактама.

16. Разнообразные синтезы.

English     Русский Правила