460.81K
Категория: МатематикаМатематика

Методы интегрирования

1.

Методы интегрирования
Интегрирование подстановкой и
по частям

2.

3.

Основные формулы
интегрирования

4.

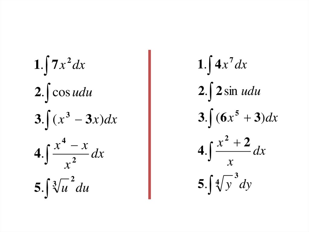
1. 7 x dx
1. 4 x 7 dx
2. cos udu
2. 2 sin udu
3. ( x 3 x )dx
3. (6 x 5 3)dx
x x
4.
dx
2
x
x 2
4.
dx
x
2
3
4
2
5. u du
3
2
3
5. 4 y dy

5.

6.

dt=t’dx=(sinx)’dx=cosxdx
Выражаем отсюда dx и
подставляем в пример

7.

№2. Найдите неопределенный интеграл
1) сos 3 xdx
2) ( x 3) dx
4
3) x 4dx
4) sin x cos xdx
5) tgxdx
x
6) sin dx
2
7 ) (cos x sin x )dx
2
2
x 2x 4
8)
dx
x
5
2 3x x
9)
dx
3
x
3
Выделенный элемент функции обозначаем за t
К №5 и 7 – применяем тригонометрические
формулы для преобразования, см. след слайд
English     Русский Правила