Запишите в тетради число, классная работа.
228.65K
Категория: МатематикаМатематика

Правила вычисления производных

1.

2. Запишите в тетради число, классная работа.

15.04.2020
Запишите в тетради число, классная работа.
Сегодня будем практиковаться в нахождении
производных заданных функций.
Первое задание содержит подробное решение.
Постарайся разобраться. Если будет непонятно,
возвращайся в начало на слайд №3 и найди
формулу, которую применили при решении.
Решение перепиши в тетрадь.
Потом самостоятельно реши №1,№2 и №3. Фото
решений этих заданий нужно будет переслать мне.

3.

Давайте повторим

4.

Найдите производные функций:
1
а) f ( x) x
х
2
б ) f ( x ) x (2 x 7)
2
2
x
в) f ( x) 3
x 1
г) f ( x) x
5
5
д) f ( x ) 3 x 3
x
7

5.

1
а) f ( x) x
х
1
1
2
2
f ( x ) ( x ) ( x ) ( )
х
х
2
1
1
2 x ( 2 ) 2 x 2
х
х

6.

б ) f ( x ) x ( 2 x 7)
2
f ( x ) ( x ) (2 x 7) ( х ) (2 х 7)
2
2
2 x (2 x 7) х 2 4 x 14 х 2 х
2
6 x 14 х
2
2
2

7.

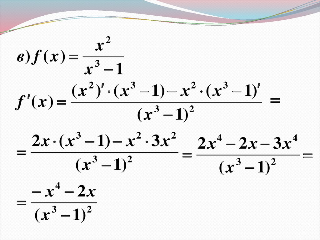
2
x
в) f ( x) 3
x 1
2
3
2
3
( x ) ( х 1) х ( х 1)
f ( x )
3
2
( x 1)
4
4
2 x ( х 1) х 3 х
2
х
2
х
3
х
3
2
3
2
( x 1)
( x 1)
4
х 2х
3
2
( x 1)
3
2
2

8.

г) f ( x) x
5
f ( x ) ( x ) 5x
5
5 1
5x
6

9.

5
д) f ( x ) 3 x 3
x
5
7
3
7
f ( x ) (3 x 3 ) ( 3 x ) (5 х )
x
7
3 7 x 5 ( 3 х
6
15
21 x 4
x
6
3 1
) 21 x 15 х
6
4

10.

Решите самостоятельно.
№1

11.

12.

13.

Домашняя работа не задана.
English     Русский Правила