Лекция №15
Предел геометрической видимости
Поправка на кривизну земной поверхности
Поправка на понижение горизонта
624.50K

Предел геометрической видимости. Поправка на кривизну земной поверхности. Поправка на понижение горизонта

1. Лекция №15

• Предел геометрической
видимости
• Поправка на кривизну
земной поверхности
• Поправка на понижение
горизонта

2. Предел геометрической видимости

Поверхностные волны распространяются в
пределах геометрической видимости

3.

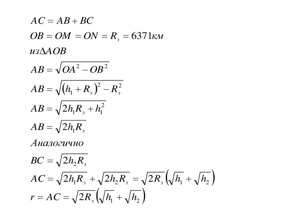
AC AB BC
OB OM ON Rз 6371км
из AOB
AB OA 2 OB 2
AB
h1 Rз 2 Rз2
AB 2h1 Rз h12
AB 2h1 Rз
Аналогично
BC 2h2 Rз
AC 2h1 Rз 2h2 Rз 2 Rз
r AC 2 Rз
h1 h2
h1 h2

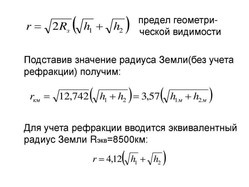
4.

r 2 Rз
h1 h2
предел геометрической видимости
Подставив значение радиуса Земли(без учета
рефракции) получим:
rкм 12,742
h1 h2 3,57
h1м h2 м
Для учета рефракции вводится эквивалентный
радиус Земли Rэкв=8500км:
r 4,12 h1 h2

5. Поправка на кривизну земной поверхности

MKN D
h OK OA
OA R cos
cos 1
2
2
h R OA R R cos
h R 1 cos R
2
2
D
2R
2
R D
D2
h
2 2R
8R
2
Dкм
R 6371км

50
2
Dкм
R 8500км

68

6. Поправка на понижение горизонта

h1 ON ON
ON R sec ; ON R
h1 R sec R R sec 1
2
R 2
d
h1 R 1
1 ; 1
2
2
2
sec 1
2
2
d12км
h1 м
0,08 12км
2R
English     Русский Правила