388.84K
Категория:
Математика
Похожие презентации:
Иррациональные уравнения. Понятие иррационального уравнения
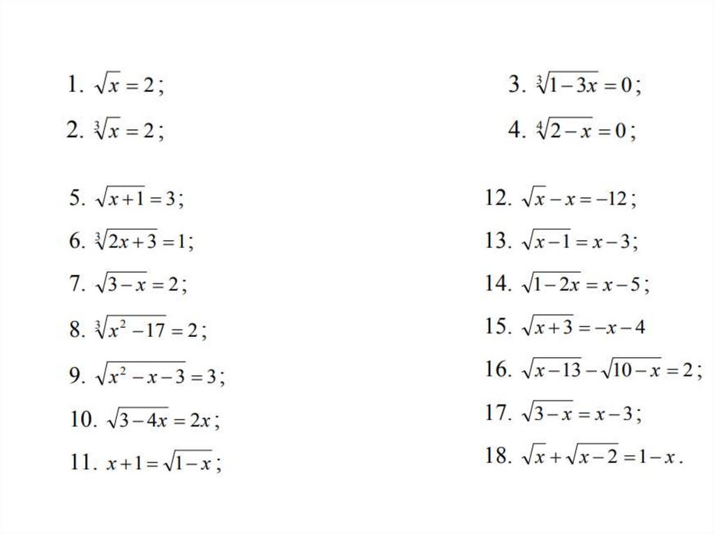
Иррациональные уравнения
Иррациональные уравнения. Решение иррациональных уравнений
Решение иррациональных уравнений. Иррациональное уравнение
Иррациональные уравнения
Иррациональные уравнения
Иррациональные уравнения
Иррациональные уравнения
Иррациональные уравнения
Иррациональные уравнения
Иррациональные уравнения
1.
English
Русский
Правила