4.03M
Категория: МатематикаМатематика

Решение геодезических задач. Взаимосвязь ориентирных углов. Практическая работа

1.

Практическая работа. Решение геодезических задач.
Взаимосвязь ориентирных углов
Необходимые инструменты и принадлежности:
топографическая карта,
циркуль-измеритель,
карандаш средней твердости,
масштабная линейка,
транспортир,
инженерный калькулятор.
Задание
1) Решить обратные геодезические задачи по известным
координатам точек А, В и С.
2) Сравнить результаты вычисленных горизонтальных проложении
АВ, ВС, СА с данными измеренными по карте.
3) Измерить дирекционный угол отрезка DА заданной на карте
М 1:10 000.
4) Решить прямую геодезическую задачу с нахождением
координаты точки D.

2.

хA = х + х = 6068000+580 = 6068580 м
уA = у + у = 4311000 +330 = 4311330 м
хB = х + х = 6068000+110 = 6068110 м
уB = у + у = 4311000 +440 = 4311440 м
хC = х + х = 6068000 +240 = 6068240 м
уC = у + у = 4311000 –40 = 4310960 м

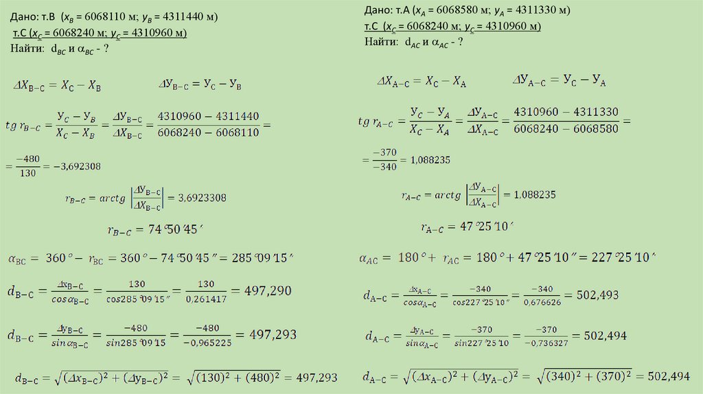
3.

Обратная геодезическая задача
Дано: т.А (хA = 6068580 м; уA = 4311330 м)
т.В (хB = 6068110 м; уB = 4311440 м)
Найти: dAB и AB - ?
2ndF
English     Русский Правила