Диэлектрики с неполярными молекулами (водород, азот, сера, полиэтилен, парафин, бензол).
Особенности сегнетоэлектриков
270.00K
Категория: ФизикаФизика

Диэлектрики. Поведение диэлектрика в электрическом поле

1.

Диэлектрики – вещества, в
которых нет (или почти нет)
свободных электрических
зарядов.
По М.Фарадею диэлектрики –
это тела, в которых может
длительно существовать
электрическое поле.
1

2.

Поведение диэлектрика в электрическом поле
определяется поведением его молекул, которые
могут быть полярными и неполярными. У
полярных молекул (Н2О, НСl и т.д.) в отсутствие
эл.поля центры тяжести положительных и
отрицательных зарядов не совпадают. Такие
молекулы представляют собой диполи, которые
характеризуются дипольным моментом p .
Е 0
Н 2О
p ql
Н
p
Н
О
l
q
q
p
2

3.

Для неполярных молекул (О2, Н2, Не и т.д) в
отсутствие электрического поля центры
тяжести положительных и отрицательных
зарядов совпадают, p 0 .
В электрическом поле неполярная
молекула приобретает индуцированный
pинд , пропорциональный
дипольный
момент
вектору
E электрического поля.
Е 0
Е
p 0
pинд
3

4.

На заряды диполя в однородном
электрическом поле действует пара
одинаковых по модулю сил (F+=F-),
вызывающих вращение диполя вокруг его
центра (точки О) с уменьшением
угла
между дипольным
моментом p и
вектором E :
p
q
α F
Е
0
Е
F
Е
q
В итоге диполь устанавливается в положение, для которого угол α=0
(положение устойчивого равновесия).
В неоднородном электрическом поле диполь поворачивается и
втягивается в область более сильного поля.
4

5.

Диэлектрик во внешнем электрическом
поле поляризуется.
Поляризация диэлектрика заключается в
том, что элементарные объемы
диэлектрика и весь диэлектрик в целом
приобретает вполне определенный
электрический момент. Поляризация
сопровождается появлением связанных
(поляризованных) зарядов. Отделить
связанные заряды друг от друга
невозможно.
5

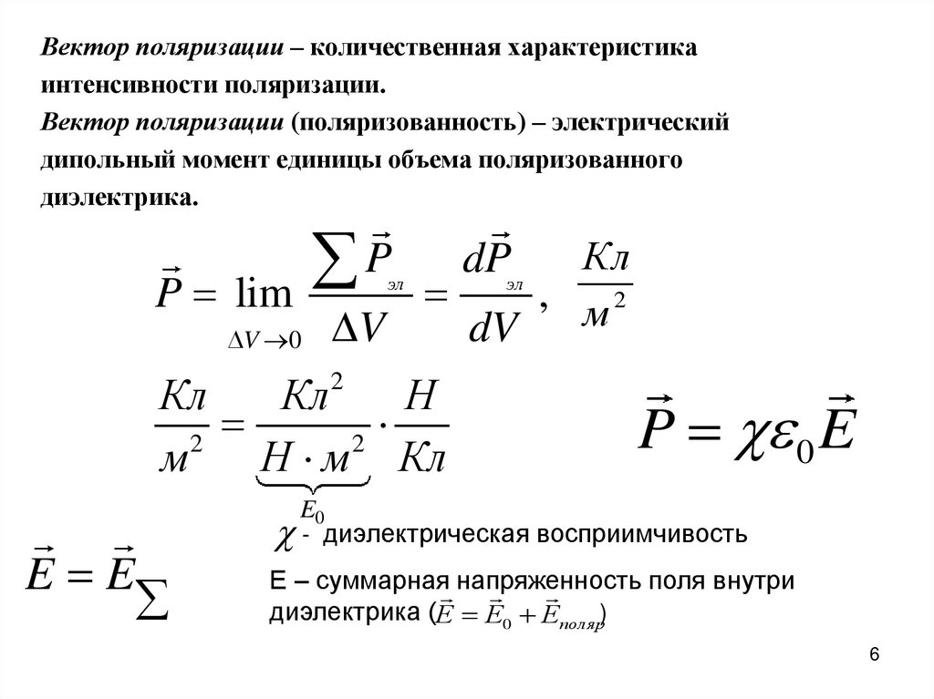
6.

Вектор поляризации – количественная характеристика
интенсивности поляризации.
Вектор поляризации (поляризованность) – электрический
дипольный момент единицы объема поляризованного
диэлектрика.
Кл
P
dP
P lim
,
эл
V 0
V
Кл
Кл 2 Н
2
2
м
Н м Кл
E E
эл
dV
м2
P 0 E
E0
- диэлектрическая восприимчивость
Е – суммарная напряженность
поля внутри
диэлектрика (Е Е0 Еполяр)
6

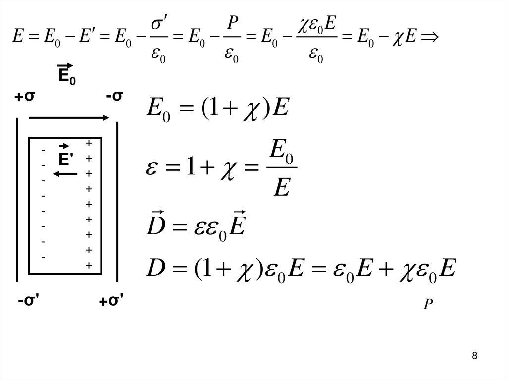
7.

E0

-σ'
+σ'
El
-

+
+
+
P
d
Е Е0 Е
E E0 E
+ По определению Р:
+
+ Как макродиполь:
+
dPэл PdV
dPэл dS d
} P
Для плоского конденсатора
E 0 E 0
1
P
0 E 1
1
7

8.

0 E
P
E E0 E E0 E0 E0
E0 E
0
0
0
E0


-
-σ'
E'
+
+
+
+
+
+
+
+
+
E0 (1 ) E
E0
1
E
D 0 E
D (1 ) 0 E 0 E 0 E
+σ'
P
8

9. Диэлектрики с неполярными молекулами (водород, азот, сера, полиэтилен, парафин, бензол).

В неполярных молекулах атомы
расположены симметрично. Центры
тяжести всех ядер и всех электронов в
отсутствии внешнего поля совпадают.
0
E
0
P
Т
0
E
9

10.

Диэлектрики с полярными молекулами
(параэлектрики – вода, соляная кислота).
ор
ор
P
0
0
0
Е
С
ор
Т
Т
Е
C const
Модуль 3 Лекция 16
10

11. Особенности сегнетоэлектриков

1. Относительная диэлектрическая
проницаемость среды характеризуется
очень большими значениями.
2. Она зависит от напряженности поля.
3. Она зависит от температуры.
Сегнетоэлектрик существует при
температурах ниже критической.
4. В сегнетоэлектриках существуют
области самопроизвольной
поляризации (домены).
5. Наблюдается гистерезис свойств.
11
English     Русский Правила