1.75M
Категория: МатематикаМатематика

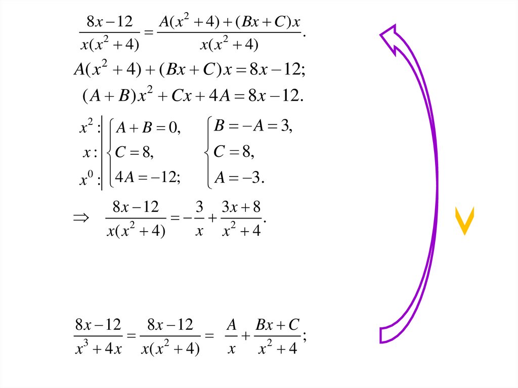
§ 3. Интегрирование рациональных дробей

1.

§ 3. Интегрирование рациональных
дробей
Опр. 1. Рациональной функцией (или дробно-рациональной
функцией, или рациональной дробью) называется функция,
равная отношению двух многочленов, т. е. дробь вида Pn ( x) ,
Qm ( x)
где Pn(x) – многочлен степени n;
Qm(x) – многочлен степени m.
Опр. 2. Рациональная дробь называется правильной, если
степень числителя строго меньше степени знаменателя ( n m );
рациональная дробь называется неправильной, если степень
числителя больше или равна степени знаменателя (.n m).

2.

Любую неправильную рациональную дробь можно представить
в виде суммы многочлена и правильной рациональной дроби. Для
этого нужно числитель поделить уголком на знаменатель.
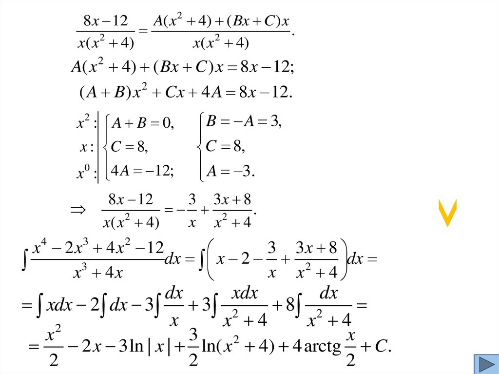
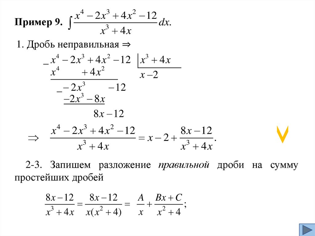
Пример 1.
4
3
2
2
x
3
x
x
8x 1
Выделим целую часть неправильной дроби
.
x 2 3x 2
_ 2 x 3x x 8 x 1 x 3x 2
4
3
2
2x 6x 4x
4
3
2
2
2x 2 3x 4
_ 3x3 5 x 2 8 x 1
3x3 9 x 2 6 x
_ 4 x 2 14 x 1
4 x 2 12 x 8
2x 7
Процесс
деления
заканчивается, когда степень
остатка становится меньше
степени делителя.
2 x 4 3x3 x 2 8 x 1
2x 7
2
2 x 3x 4 2
.
2
x 3x 2
x 3x 2

3.

§ 3. Интегрирование рациональных
дробей
Рациональная дробь - отношение двух многочленов
x 1
x 2
x 3
x
x2 1
x4 1
1) 2
2) 3
3)
4) 2
5) 2
6)
2
x 5
x 1
x 2x 4
x 2x
x 2
x 1
x 1
8
9
33
x6 1
1
7)
8)
9)
10) 2
11)
12)
4
2
3 2
3
x 2
( x 4)
x 4x 3
( x 3)
( x 1)
x
Неправильная
Правильная
рациональная дробь рациональная дробь степень
числителя
строго степень числителя больше или
равна степени знаменателя
меньше степени знаменателя
Например, 5) 7) 11)
Например, 1) 2) 4) 9) 10)
x2 1 x2 2 x 2 x 1
2 x 1
5) 2
1 2
2
x 2x
x 2x
x 2x
x 1 x 2 3
3
7)
1
x 2
x 2
x 2

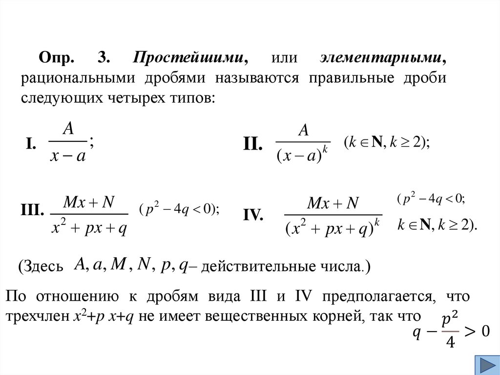
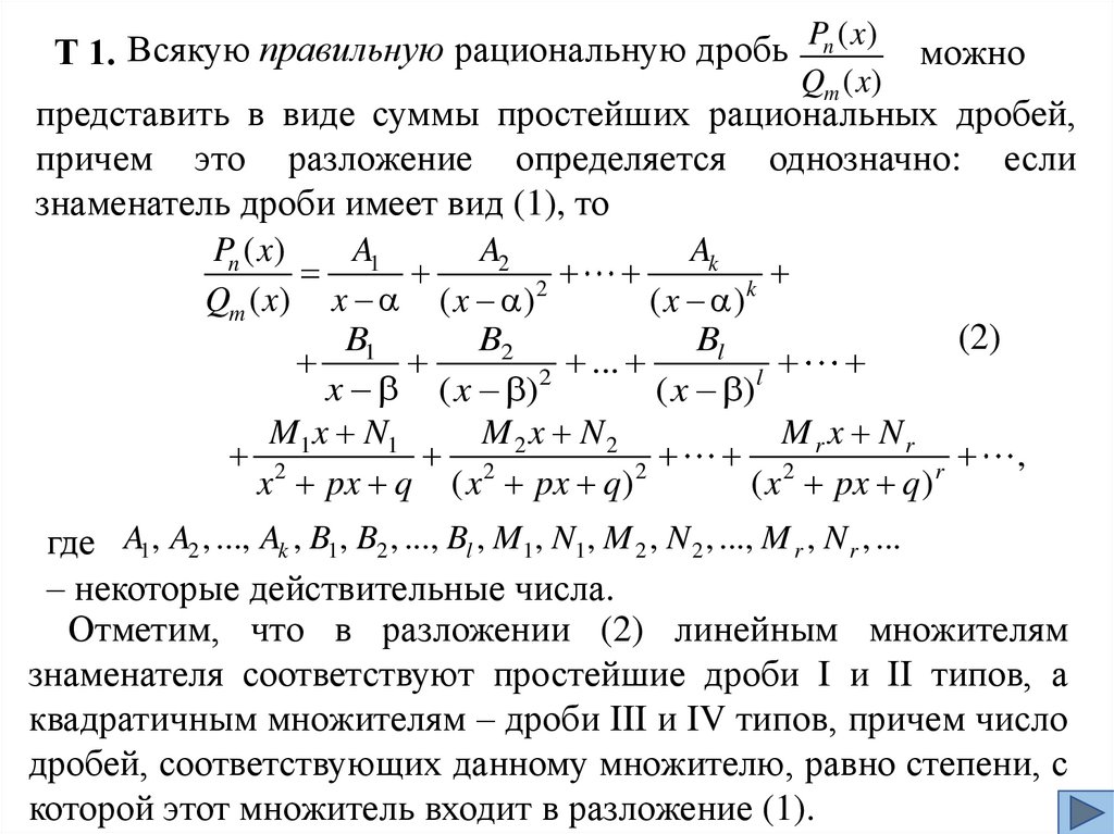
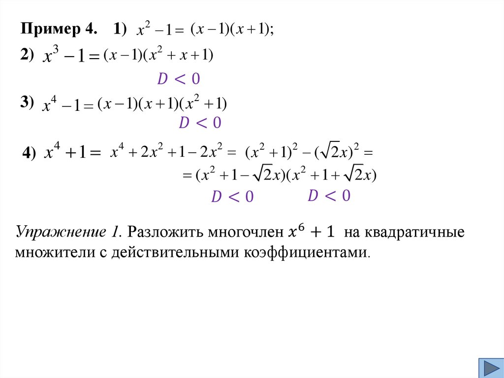
4.

Опр. 3. Простейшими, или элементарными,
рациональными дробями называются правильные дроби
следующих четырех типов:
A
;
I.
x a
III.
Mx N ( p 2 4q 0);
x 2 px q
A
II.
k (k N, k 2);
( x a)
IV.
Mx N
( x 2 px q)k
( p 2 4q 0;
k N, k 2).
(Здесь A, a, M , N , p, q– действительные числа.)
По отношению к дробям вида III и IV предполагается, что
трехчлен x2+p x+q не имеет вещественных корней, так что
English     Русский Правила