1.36M
Категория: МатематикаМатематика

Тригонометрия 10 класс. Первые уроки

1.

2.

Что означает название предмета «Алгебра и начала анализа?»
Алгебра – один из разделов математики, изучающий свойства
величин, выраженных буквами, независимо от их конкретного
числового значения.
Математический анализ – это совокупность частей математики,
в которых главным объектом исследования является функция, а
оперативная часть опирается на выполнение операций
дифференцирования и интегрирования.
Основоположники математического анализа:

3.

4.

Тригономе́трия (от греч. τρίγονο (треугольник) и греч.
μετρειν (измерять),
то есть измерение треугольников) — раздел математики,
в котором изучаются тригонометрические функции и их
приложения к геометрии.
Данный термин впервые появился в 1595 г. как название
книги немецкого математика Бартоломеуса Питискуса
(Bartholomäus Pitiscus, 1561—1613),
а сама наука ещё в глубокой древности использовалась для
расчётов в астрономии, геодезии и архитектуре.

5.

Эти ученые внесли свой вклад в развитие тригонометрии
Архимед
Жозеф Луи
Лагранж
Фалес

6.

Тригонометрия возникла и развивалась в древности как
один из разделов астрономии, как ее вычислительный
аппарат, отвечающий практическим нуждам человека. С ее
помощью можно определить расстояние до недоступных
предметов и существенно упрощать процесс геодезической
съемки местности для составления географических карт.
Общепринятые понятия тригонометрии, а также
обозначения и определения тригонометрических функция
сформировались в процессе долгого исторического развития.
Тригонометрические сведения были известны древним
вавилонянам и египтянам, но основы этой науки заложены в
Древней Греции встречающиеся уже в III веке до н.э.
в работах великих математиков– Евклида, Архимеда,
Апполония Пергского. Древнегреческие астрономы успешно
решали вопросы из тригонометрии, связанные с астрономией.

7.

Тригонометрия – математическая дисциплина,
изучающая зависимость между сторонами и углами
треугольника.
Тригонометрические вычисления применяются
практически во всех областях геометрии, физики и
инженерного дела, при измерении расстояний до
недалёких звёзд в астрономии, между ориентирами в
географии, при контроле системы навигации, в теории
музыки, акустике, оптике, электронике, теории
вероятностей, статистике, биологии, медицине
(включая ультразвуковое исследование (УЗИ) и
компьютерную томографию), фармацевтике, химии,
сейсмологии, метеорологии, океанологии, картографии,
архитектуре, экономике, электронной технике,
машиностроении, компьютерной графике.

8.

Вспомним:
0 90
с
а
a
sin
с
b
cos
c
a
tg
b
в
Синус острого угла в прямоугольном треугольнике —
отношение противолежащего катета к гипотенузе.
Косинус — отношение прилежащего катета к гипотенузе.
Тангенс — отношение противолежащего катета к
прилежащему.

9.

В XVIII веке Леонард Эйлер
дал современные, более
общие определения,
расширив область
определения этих функций
на всю числовую ось.
угол _ поворота
R

10.

у
1
0
х
1

11.

у
1
0
х
1

12.

Рассмотрим в прямоугольной системе координат
окружность единичного радиуса и отложим от
горизонтальной оси угол
(если величина угла положительна, то откладываем против
часовой стрелки, иначе по часовой стрелке). Точку
пересечения построенной стороны угла с окружностью
у
обозначим Р.
0
Р
1
0
1
х
1
0

13.

Р90 у
Р60
Р45
Р30
Р180
Р
1
0
х 0
1
Р270
Р360

14.

cos
у
1
P ( x; y)
у
sin
1
0
P (1;0)
х 0
1
х
1

15.

sin y
cos x
Косинус — абсцисса точки P
y
tg
Тангенс – отношение
ординаты к абсциссе
точки P x
x
Котангенс – отношение
ctgточки
абсциссы
к ординате
P y
Синус угла определяется как ордината
точки P

16.

Понятие синуса встречается уже в III в. до н. э.
и имел название джива (тетева лука) ,
в IX в. заменено на арабское слово
джайб (выпуклость) , XII в. заменено на латинское
синус (изгиб, кривизна) .
Косинус – это дополнительный синус.
Тангенс переводится с латинского
как «касающийся»

17.

Р90 у
Р60
1
Р45
sin
45
0,7
Р30
cos45 0,7
1
2
-1
1
sin 30
2
cos 30 0,9
Р180
Р
1
0
х 0
1
1
2
1
Р360
sin 60 0,9
1
cos 60
2
-1
Р270

18.

Запомним !
cos
tg
ctg
45
60
1
2
2
2
3
2
3
2
2
2
1
2
1
3
3
3
1
3
1
1
3
3
3
30
sin
3

19.

Р90 у
Р0 (1; 0)
Р90 (0; 1)
Р180
Р
1
0
х 0
1
Р360
Р180 (-1; 0)
Р270
Р270 (0;-1)

20.

Проверим:
180
270
0
-1
0
0
-1
0
1
0
-
0
-
0
-
0
-
0
-
sin
0
0
90
1
cos
1
tg
ctg
360

21.

Знаки синуса, косинуса, тангенса, котангенса
в координатных четвертях
у
у
+ +
х
1
- -
0
1
- +
+ 1
1
х
- +
+ 1
1
0
sin68 0
cos 76 0
sin 153 0
cos 236 0
sin 249 0
tg127 0
sin 315 0
ctg195 0
у
0
- +
- +
1
1
0
у
х
х

22.

Четность, нечетность синуса, косинуса,
тангенса, котангенса
sin( ) sin
tg ( ) tg
ctg ( ) ctg
cos( ) cos
Нечетные функции
Четная функция

23.

Периодичность тригонометрических
функций
При изменении угла на целое число оборотов
значения синуса, косинуса, тангенса, котангенса
не изменяются

24.

у
sin
sin( 360 )
sin( 2 360 )
у
sin( n 360 )
cos
1
0
cos( 360 )
х
1
х
cos( 2 360 )
cos( n 360 )
tg
tg ( n 180 )
ctg
ctg ( n 180 )

25.

у
3
sin 60
2
1
cos 60
2
3
2
60
1
0
1
420 ?
sin 780
х
1
2
1
2
cos420
cos780 ?
sin
sin 780
420
sin( 60
2 360 )
sin( 60 360 )
sin 60
sin 60
3
2 23
cos 780
cos
420
360 ))
cos(
cos(60
60 2360
11
cos
cos60
60
22

26.

sin 765
cos 1110
sin( 45 2 360 )
cos(30 3 360 )
2
sin 45
2
3
cos 30
2
1
sin( 1470 ) sin 1470 sin( 30 4 360 ) sin 30
2
1
cos( 1140 ) cos1140 cos(60 3 360 ) cos 60
2
sin( 810 ) sin 810 sin( 90 2 360 ) sin 90 1
cos( 1170 ) cos1170 cos(90 3 360 ) cos 90 0

27.

Радианная мера угла
R
С
центральный угол
R – радиус
С – длина дуги
Если R = C,
то центральный угол равен
одному радиану
Радианной мерой угла называется
отношение длины соответствующей дуги
к радиусу окружности
1 рад 57

28.

180
n
n n 180
180
4
45
4
n 60
60
n 4 180 180 180 45
180
3
4
4
60
3

29.

Градусная и радианная меры углов
Угол
в
градусах
n
0 30 45 60
Угол
в
радианах
0
6
4
3
90 180 270 360
2
3
2
2

30.

sin( ) sin 22
4
4
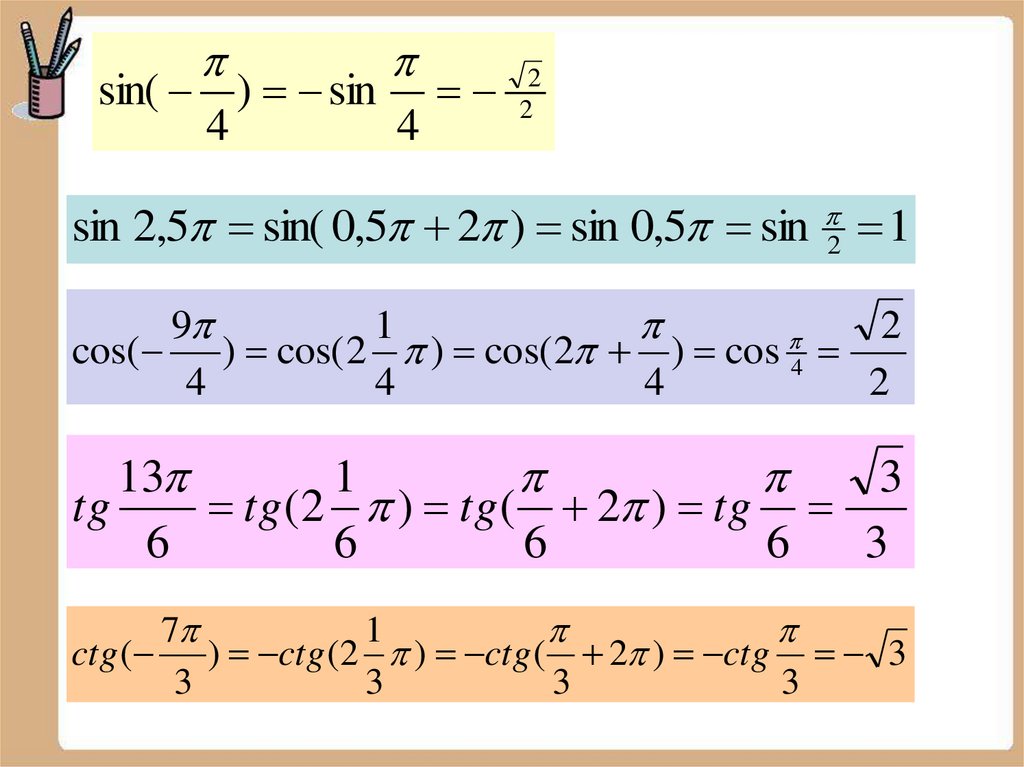
sin 2,5 sin( 0,5 2 ) sin 0,5 sin 2 1
9
1
2
cos( ) cos( 2 ) cos( 2 ) cos 4
4
4
4
2
13
1
3
tg
tg (2 ) tg ( 2 ) tg
6
6
6
6
3
7
1
ctg ( ) ctg (2 ) ctg ( 2 ) ctg 3
3
3
3
3
English     Русский Правила