260.17K
Категория: ХимияХимия

арены-1

1.

Ароматические углеводороды
Арены
1. Прочитать параграф 36
2. Рассмотреть информацию на слайдах презентации
3. ответить на вопросы и выполнить задания:
4. стр 197 вопрос 1 (устно), вопросы 5, 8 (письменно)

2.

С2Н2

3.

Майкл Фарадей
1825 год
установил состав
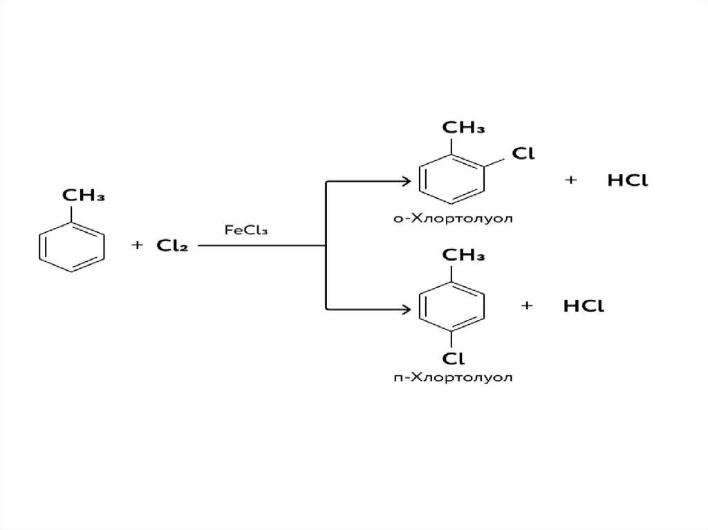
светильной жидкости
Майкл Фарадей
(1791 – 1867)
английский физик и
химик
С6Н6
вещество получило
название
БЕНЗОЛ

4.

Является ли вещество состава С6Н6
предельным углеводородом?
Является ли вещество состава С6Н6
непредельным углеводородом?
Какими свойствами должно обладать
вещество с таким составом?

5.

С6Н6 + Br2 → нет реакции
(бромная вода)
С6Н6 + KMnO4 → нет реакции

6.

Фридрих Август
Кекуле
(1829 – 1896)
немецкий
химик - органик
В 1865 году
(через 40 лет)
предложил
структурную
формулу бензола

7.

Циклогексатриен

8.

В бензоле не три двойных связи
Но все шесть электронов атомов
углерода образуют единую
электронную систему
Бензольное кольцо –
очень прочная
структура,
поэтому по
свойствам бензол
ближе к предельным,
чем к непредельным
углеводородам.
Ароматическая связь

9.

CnH2n–6

10.

Наиболее практически важные
гомологи бензола CnH2n–6
метилбензол
(толуол)
1,2 - диметилбензол
(о- ксилол)
пропилбензол
винилбензол
(кумол)

11.

Получение
1.Сухая перегонка каменного угля
(1000 – 1300 С)

12.

2. Тримеризация ацетилена
Николай Дмитриевич
Зелинский
(1861 – 1953)
Русский химик, работал в
области химии нефти
и органического катализа

13.

3. Дегидрирование циклоалканов

14.

4. Циклоароматизация алканов

15.

Физические свойства аренов
Бензол
Нафталин

16.

Химические свойства аренов
1.Реакции замещения
(галогенирование)

17.

Нитрование

18.

Алкилирование
Арены взаимодействуют с галогеналканами в присутствии
катализаторов (AlCl3, FeBr3 и др.) с образованием
гомологов бензола.

19.

2. Реакции присоединения
1. галогенирование

20.

2. гидрирование

21.

Гомологи бензола
Гомологи бензола не присоединяют хлор. Если гомолог
бензола реагирует с хлором или бромом на свету или
при высокой температуре (300°C), то происходит
замещение атомов водорода в боковом алкильном
заместителе, а не в ароматическом кольце.

22.

Если у гомолога бензола боковая цепь содержит несколько
атомов углерода – замещение происходит у атома,
ближайшему
к
бензольному
кольцу
(«альфаположение»).
свет

23.

(орто-) 6
2( орто-)
4 (пара-)
English     Русский Правила