Уравнение, правила преобразования уравнения, равносильность уравнений
Дана задача:
Обозначим буквой х число яблок во втором ящике. Тогда число яблок в первом ящике равно 4х. Если с первого ящика переложить во
Из уравнения 4х – 15 = х + 15, можно вычислить, что 4х – х = 15 + 15 3х = 30 х = 10
Существуют уравнения, которые имеют два и более корней. Например, уравнение (х – 2)(х – 4)(х – 9) = 0 имеет три корня: 2, 4 и
Уравнение х + 4 = х не имеет корней, потому что при любом значении х левая часть уравнения на 4 больше, чем его правая часть.
Правила преобразования уравнения
Пример решения уравнения, с помощью преобразования:
Домашнее задание
156.57K
Категория: МатематикаМатематика

Презентация к уроку алгебры в 7 классе на тему _Уравнение, правила преобразования уравнения, равносильность уравнений

1. Уравнение, правила преобразования уравнения, равносильность уравнений

2. Дана задача:

В одном ящике лежит в 4 раза больше
яблок, чем во втором. Если с первого
ящика переложить во второй 15 яблок,
то яблок в ящиках станет поровну.
Сколько яблок во втором ящике?

3. Обозначим буквой х число яблок во втором ящике. Тогда число яблок в первом ящике равно 4х. Если с первого ящика переложить во

второй 15 яблок, то в
первом ящике останется 4х – 15 яблок, а во втором х + 15 яблок. По условию
задачи после такого перемещения яблок в ящиках окажется поровну. Значит,
4х – 15 = х + 15
Чтобы найти неизвестное число яблок, мы составили равенство, содержащее
переменную. Такие равенства называют уравнениями с одной переменной или
уравнением с одним неизвестным.
Нам надо найти число, при подстановке которого
вместо х в уравнение 4х – 15 = х +15 получается
верное равенство. Такое число называют решением
уравнения или корнем уравнения.

4. Из уравнения 4х – 15 = х + 15, можно вычислить, что 4х – х = 15 + 15 3х = 30 х = 10

Корнем уравнения называется значение
переменной, при котором уравнение
обращается в верное равенство.
Из уравнения
можно вычислить, что
4х – 15 = х + 15,
4х – х = 15 + 15
3х = 30
х = 10
Уравнение 4х – 15 = х + 15
имеет
один корень – число 10.

5. Существуют уравнения, которые имеют два и более корней. Например, уравнение (х – 2)(х – 4)(х – 9) = 0 имеет три корня: 2, 4 и

9.

6. Уравнение х + 4 = х не имеет корней, потому что при любом значении х левая часть уравнения на 4 больше, чем его правая часть.

7.

Решить уравнение –
значит найти все его
корни или доказать, что
корней нет.

8.

Равносильными называ
ют уравнения, имеющие
одни и те же корни.
Равносильными считаются
также уравнения, каждое
из которых не имеет
корней.

9.

Пара уравнений
Корни
Вывод
2x + 5 = 7
х=1
3x + 6 = 9
х=1
Каждое из уравнений имеет один и
тот же корень x=1 ⟹ уравнения
равносильны
(x – 3)(x + 2) = 0
х1 = 3 и х2 = –2
2x + 4 = 0
х = –2
х2 + 1 = 0
Решений нет
2х2 + 7 = 0
Решений нет
Первое уравнение имеет два корня,
а второе – только один корень
⟹ уравнения неравносильны
Оба уравнения не имеют решений
⟹ уравнения равносильны

10. Правила преобразования уравнения

При решении уравнения его
стараются заменить более
простым равносильным
уравнением. При этом
используют некоторые
правила.

11.

Правила преобразования уравнений
1. В любой части уравнения можно раскрывать
скобки и приводить подобные.
2. Любое слагаемое в уравнении можно перенести из
одной части в другую, изменив его знак.
3. Обе части уравнения можно умножать или делить
на одно и то же число, отличное от нуля.
В результате этих преобразований всегда
получаем уравнение, равносильное данному.

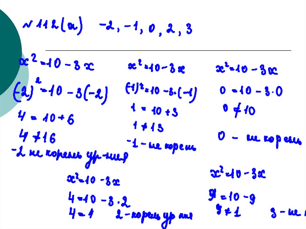
12. Пример решения уравнения, с помощью преобразования:

13.

14. Домашнее задание

Прочитать п. 6,
выучить
определения.
№111, 119.
Составить и решить
два
English     Русский Правила