923.21K
Категория:
Физика
Похожие презентации:
Статистическая теория радиотехнических систем. Постановка задач и классификация методов приема сигналов. (Лекция 10)
Статистическая теория радиотехнических систем. Случайные процессы и величины. (Лекция 2)
Статистическая теория радиотехнических систем. Моменты случайных функций. (Лекция 3)
Статистическая теория радиотехнических систем. Согласованный линейный фильтр. (Лекция 12)
Статистическая теория радиотехнических систем. Нормальный случайный процесс. (Лекция 7)
Теория многофазной фильтрации. (Лекция 3)
Статистическая теория радиотехнических систем. Вероятностные характеристики огибающей и фазы узкополосногонормального процесса
Термины и определения теории фильтрации (лекция 5)
Статистическая теория радиотехнических систем. Корреляционный анализ детерминированных процессов. (Лекция 4)
Статистическая теория радиотехнических систем. Энергетический спектр стационарного случайного процесса. (Лекция 6)
Статистическая теория радиотехнических систем. Задача фильтрации. (Лекция 13)
1.
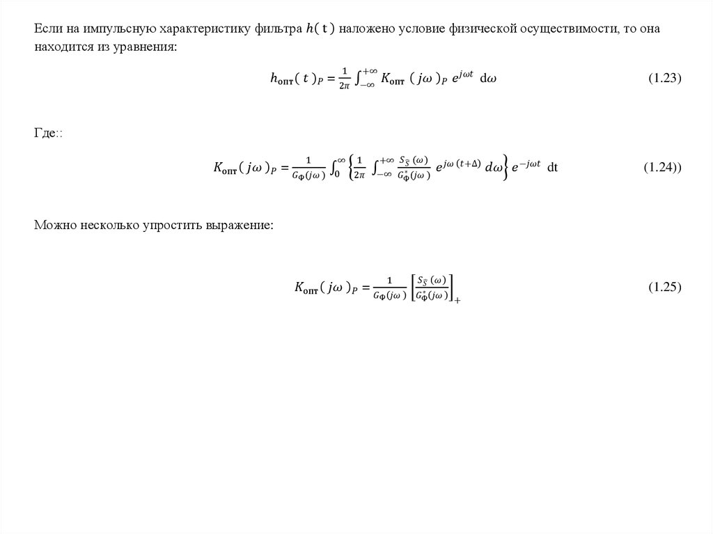
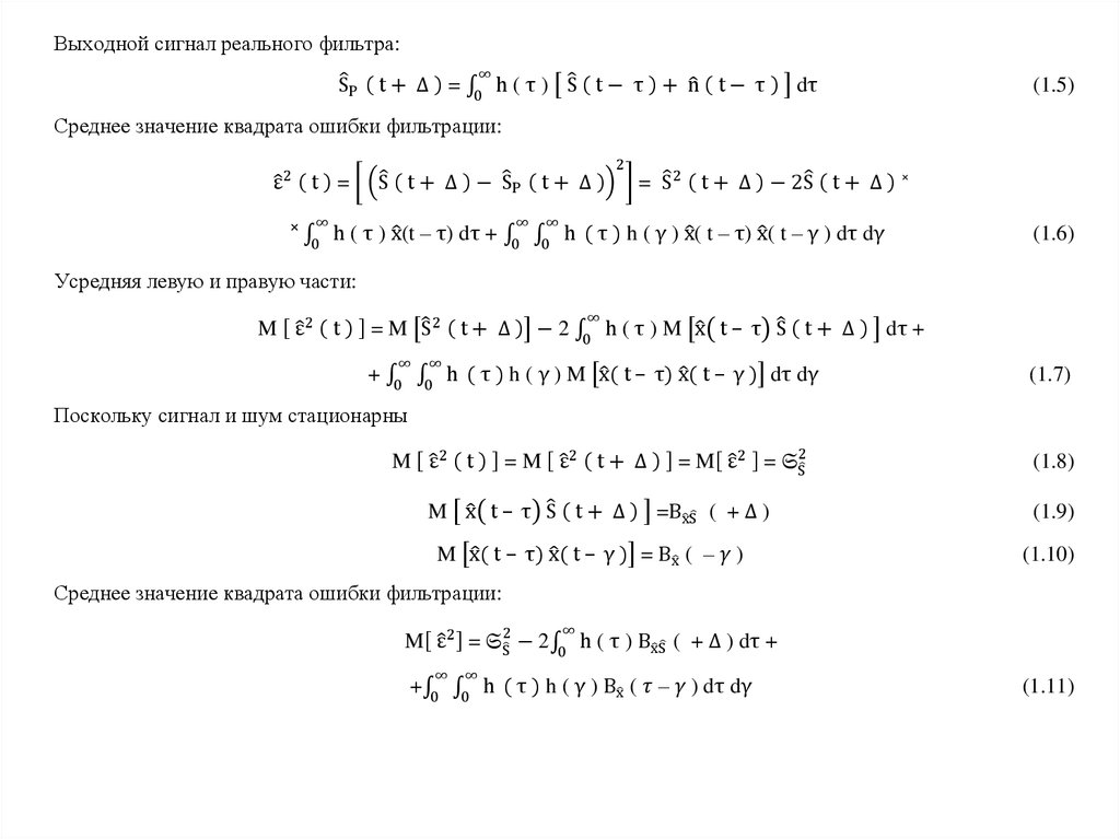
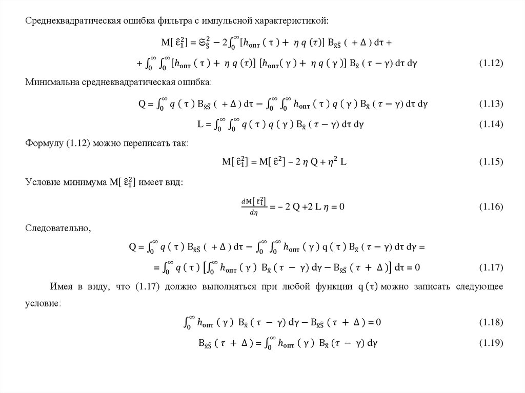
Лекция № 13 Постановка задачи фильтрации
2.
Задача фильтрации:
х(t) = S (t) + n(t)
(1.1)
y0 (t) = S ( t + ∆ ) , ∆ ≥ 0
(1.2)
English
Русский
Правила