1.63M
Категории:
Математика
Физика
Похожие презентации:
Согласованный фильтр
Согласованный фильтр
Статистическая теория радиотехнических систем. Задача фильтрации. (Лекция 13)
Статистическая теория радиотехнических систем. Моменты случайных функций. (Лекция 3)
Статистическая теория радиотехнических систем. Случайные процессы и величины. (Лекция 2)
Статистическая теория радиотехнических систем. Нормальный случайный процесс. (Лекция 7)
Ких-фильтры с линейной фчх
Статистическая теория радиотехнических систем. Корреляционный анализ детерминированных процессов. (Лекция 4)
Статистическая теория радиотехнических систем. Вероятностные характеристики огибающей и фазы узкополосногонормального процесса
Статистическая теория радиотехнических систем. Энергетический спектр стационарного случайного процесса. (Лекция 6)
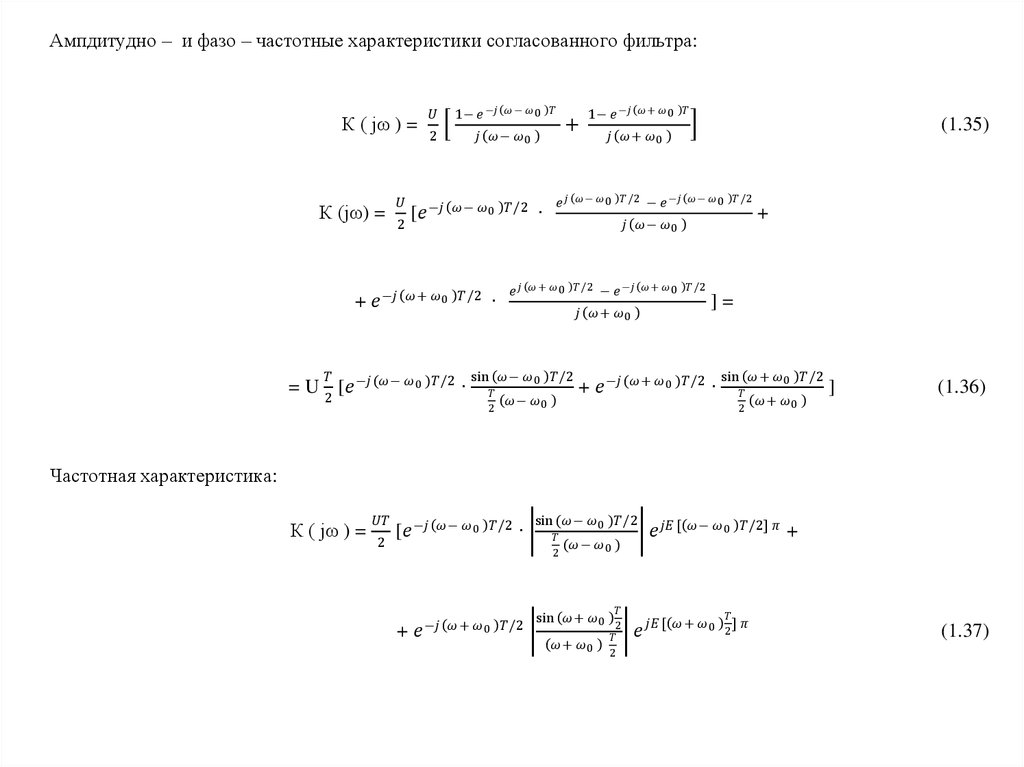
Статистическая теория радиотехнических систем. Согласованный линейный фильтр. (Лекция 12)
1.
Лекция № 12 Согласованный линейный фильтр
2.
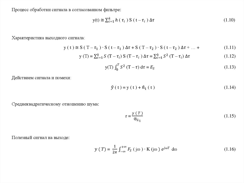
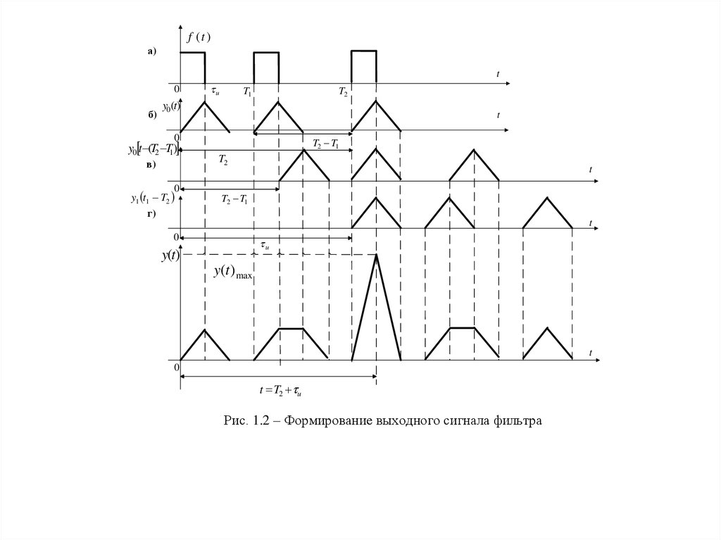
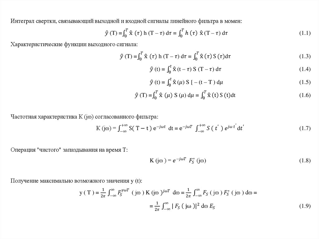
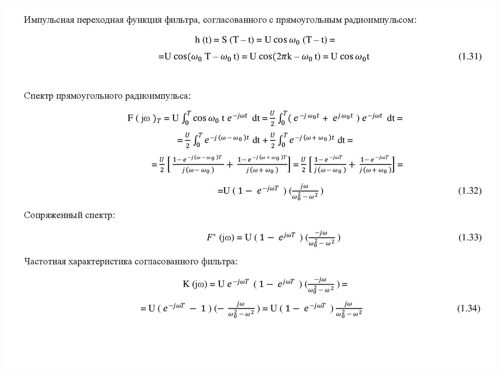
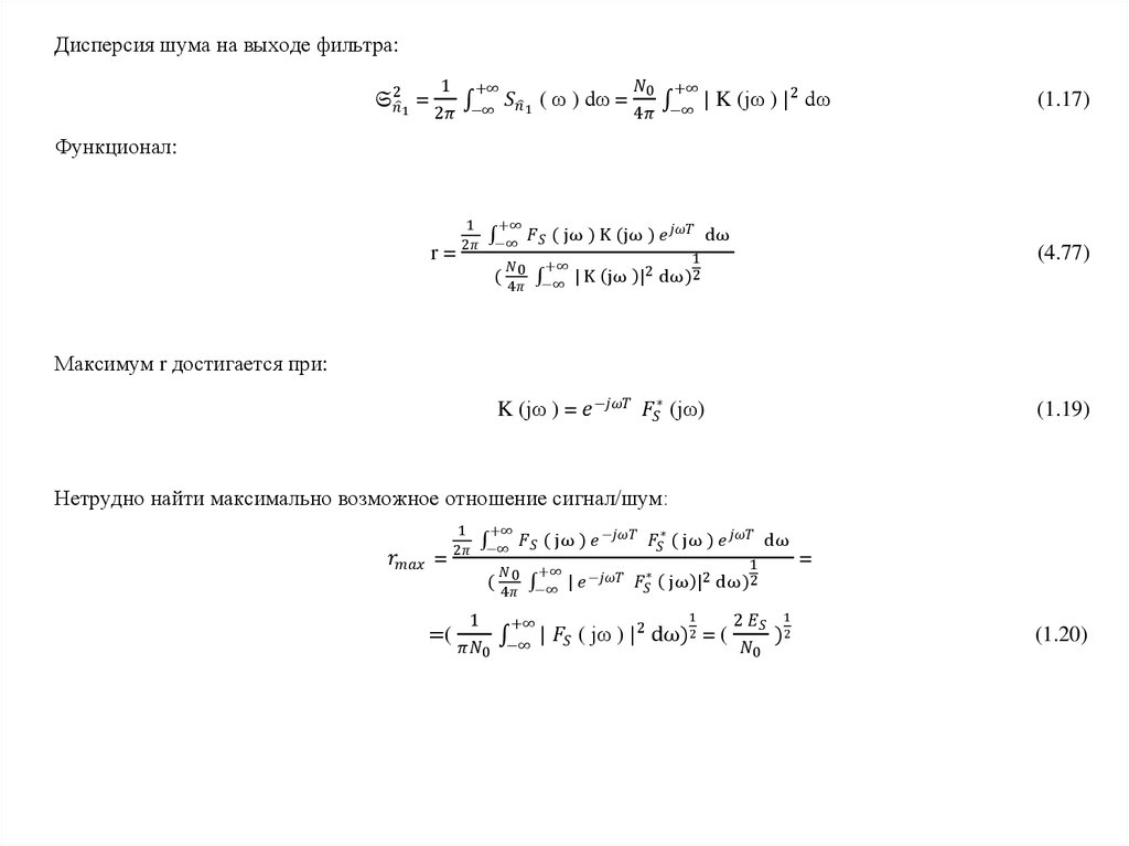
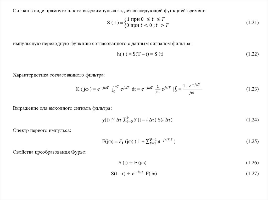
Интеграл свертки, связывающий выходной и входной сигналы линейного фильтра в момен:
English
Русский
Правила