Элементы теории поля используемые в электрофизиологии
Градиент
Дивергенция
Определение дивергенции
Лапласиан
Векторные тождества
Доказательство 1-го тождества
Градиенты в точке источника и в точке поля
Градиент функции 1/r при переменной точке источника
Градиент функции 1/r при переменной точке поля
Теорема Гаусса
Теорема Грина
Теорема Грина
Формула Грина для криволинейных интегралов 2 рода
Внеклеточные поля
Двойственность
Выражения отображают принцип двойственности
Трансмембранный ток через мембрану
Внутриклеточное удельное сопротивление - R_i (Ом х см)
Модель электрического источника одиночного волокна
Выражение для потенциала Ф_е через трансмембранный потенциал v_m
Удельная проводимость аксоплазмы (См/см) -
Плотность монопольных источников
Плотность дипольных источников
Линейная плотность дипольного момента в осевом направлении
Объемная плотность дипольных источников (для толстых нервных волокон)
Диполи деполяризации и реполяризации
Модели источников тока монопольного типа для возбудимого волокна
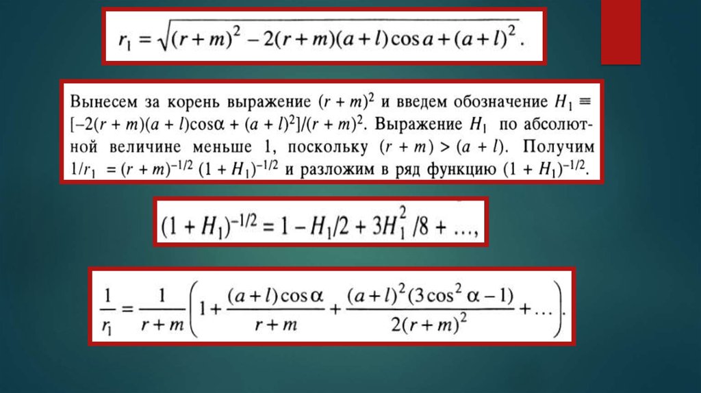
Мультипольное разложение токового диполя и квадрауполя
Второй член мультипольного разложения называют квадрупольным потенциалом (схема 2):
(схема 3)
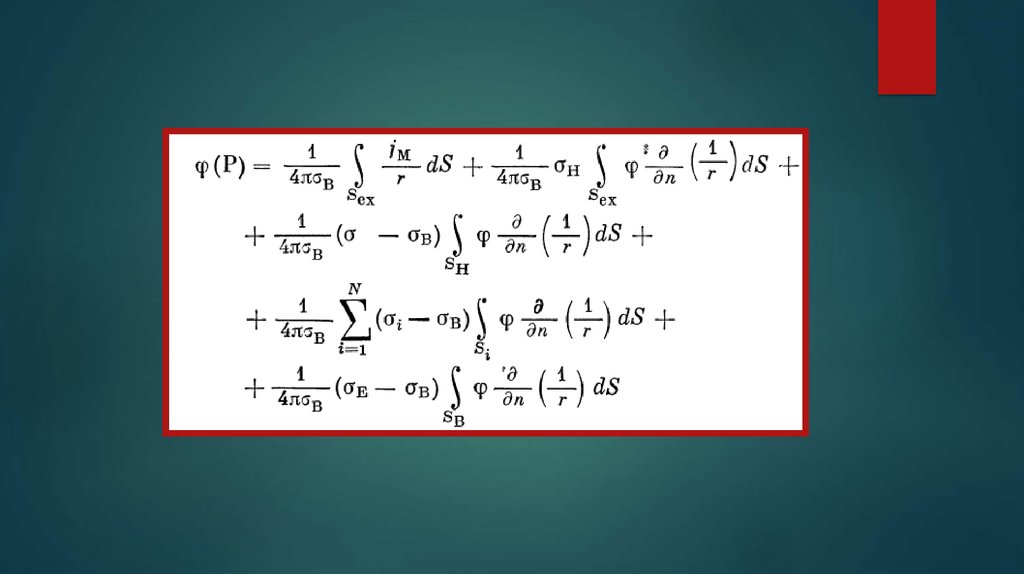
Выражение внеклеточного потенциала через характеристики поля на поверхности мембраны клетки
Теорема Грина
Преобразуем интегралы по сферическим поверхностям S_0 и S_E
Аналогично для интеграла по поверхности S_0:
Для электрокардиологических исследований область V_E представляет собой воздух – диэлектрик, следовательно, σ_Е = 0
Когда клетка окружена однородным и бесконечно протяженным проводником с удельной электропроводностью σ_В, можно положить σ_Н =
Электрофизиология сердца
Система отведений электрокардиограмм
Усиленные однополюсные отведения:
Для отведения aVL можно записать:
Грудные отведения V1 – V6 преимущественно описывают колебания под соответствующим активным электродом.
Грудные отведения
Векторные электрокардиограммы
Электрическая ось сердца
Элементы теории случайных процессов
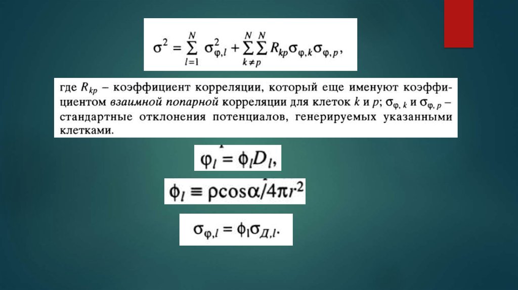
Корреляционный момент
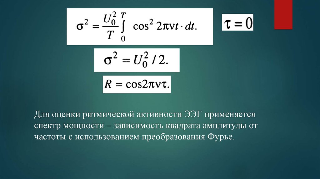
Корреляционная функция
Нормированная корреляционная функция Kτ
Кросскорреляционный момент - K_fg(t_i, t_j), кросскорреляционная функция - K_fg(t,t+ τ)
Для эргодических случайных процессов нормированная кросскорреляционная функция имеет вид: R_fg = lim┬(n→∞)⁡〖1/T〗
 
Пример гармонического колебания:
Для оценки ритмической активности ЭЭГ применяется спектр мощности – зависимость квадрата амплитуды от частоты с использованием
Статистические характеристики ЭЭГ
Мощность ЭЭГ
Общая формула дисперсии биопотенциалов головного мозга
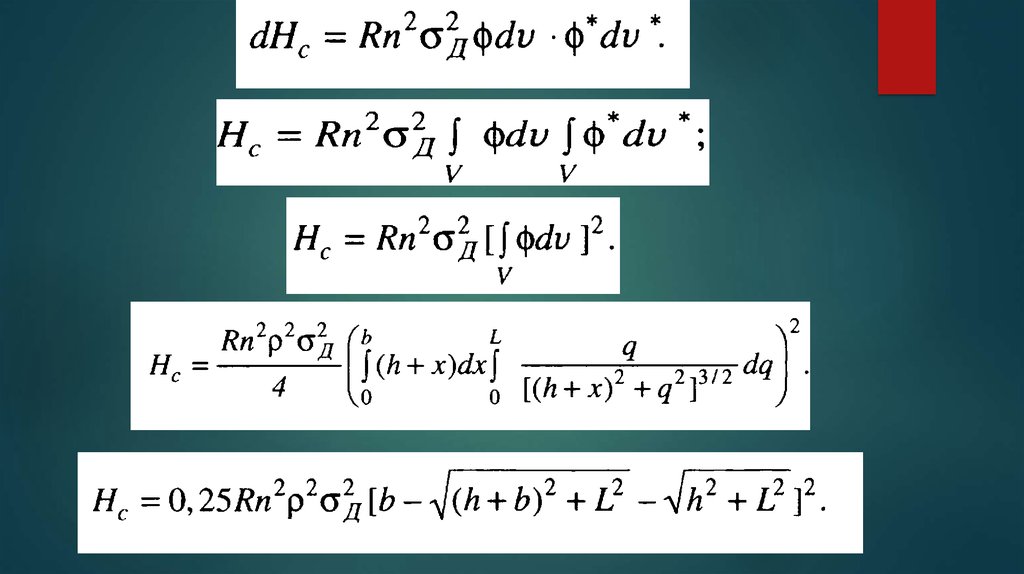
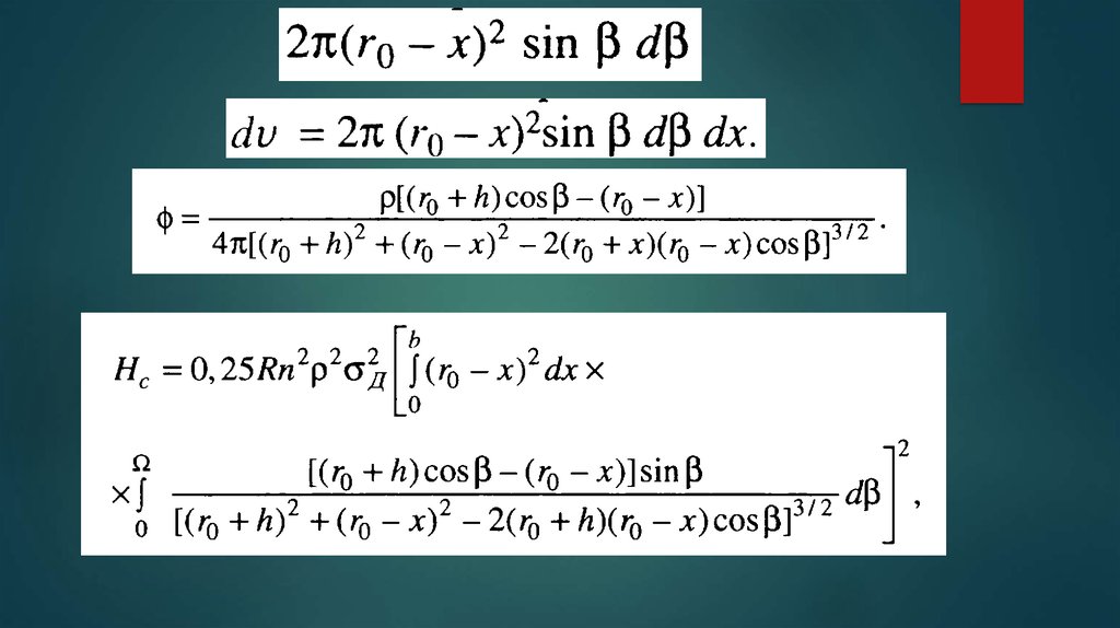
Интегральная формула дисперсии ЭЭГ для плоского участка коры
Схема послойного расположения различных нейронов в новой коре большого мозга
Интегральная формула дисперсии ЭЭГ для сферического участка коры
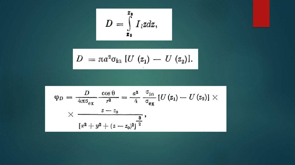
Случай 1: ЭЭГ создается обширным участком
Случай 2: ЭЭГ определяется активностью малого участка
Особенности формирования электрического поля гиппокампа
Две характерные черты электрограммы гиппокампа
7.34M
Категория: ФизикаФизика

Элементы теории поля, используемые в электрофизиологии

1. Элементы теории поля используемые в электрофизиологии

2. Градиент

3.

4.

5.

- оператор набла

6. Дивергенция

7.

8.

9. Определение дивергенции

10. Лапласиан

11. Векторные тождества

12. Доказательство 1-го тождества

13. Градиенты в точке источника и в точке поля

14. Градиент функции 1/r при переменной точке источника

15. Градиент функции 1/r при переменной точке поля

16. Теорема Гаусса

17. Теорема Грина

18. Теорема Грина

19.

20.

21.

22. Формула Грина для криволинейных интегралов 2 рода

23.

24.

25.

26.

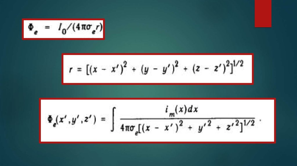
27. Внеклеточные поля

УРАВНЕНИЕ ПУАССОНА

28. Двойственность

Уравнение Лапласа
Двойственность

29. Выражения отображают принцип двойственности

30.

31. Трансмембранный ток через мембрану

32. Внутриклеточное удельное сопротивление - R_i (Ом х см)

Внутриклеточное удельное сопротивление
English     Русский Правила