Насрединов Фарит Сабирович www.physics.spbstu.ru fsn-potok@bk.ru пароль: immitphys
Учебники
Учебные пособия
Фундаментальная наука
Физическая картина мира
Фундаментальные частицы
4 типа взаимодействий
Классическая механика
Пространство по Ньютону
Радиус-вектор. Метр.
Цилиндрические и сферические координаты
Векторы и операции над ними.
Проекции вектора
Модуль. Сложение и вычитание.
Умножение на скаляр
Скалярное произведение
Векторное произведение I
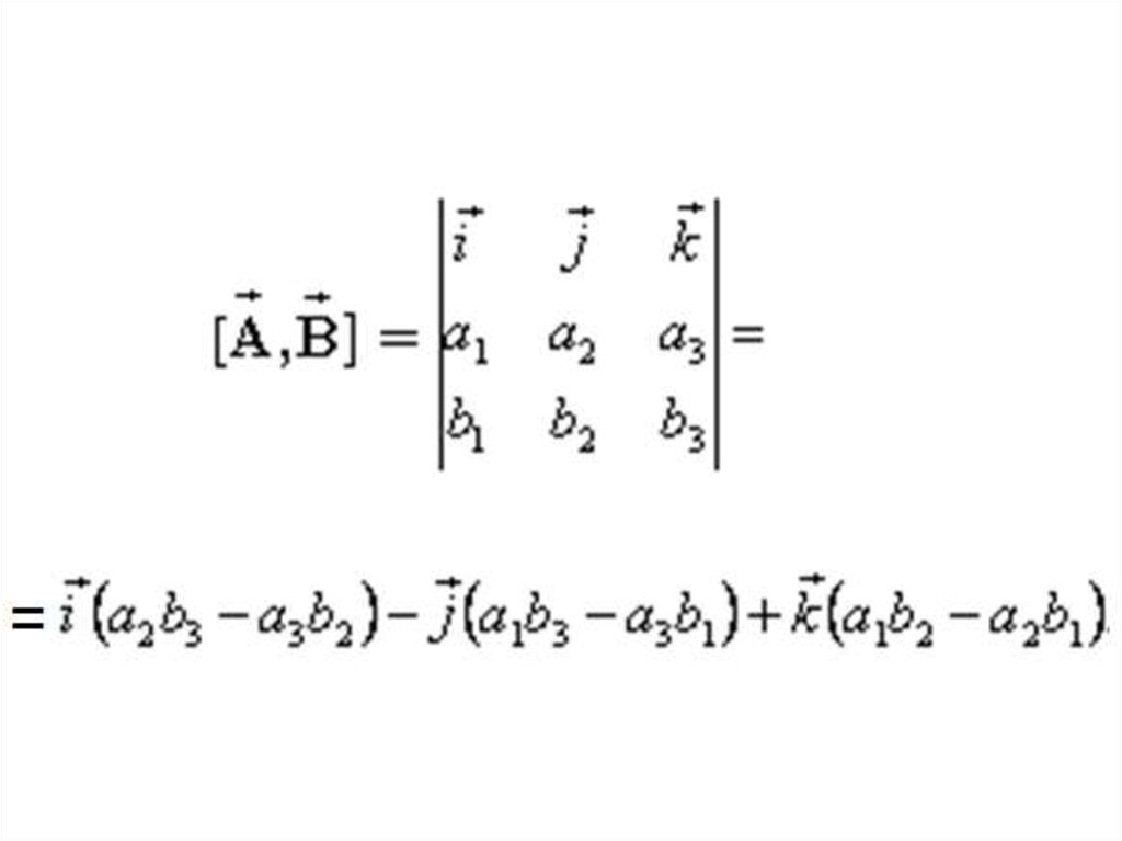
Векторное произведение II
1.72M
Категория: ФизикаФизика

Физика. Вводная лекция

1. Насрединов Фарит Сабирович www.physics.spbstu.ru fsn-potok@bk.ru пароль: immitphys

2.

3. Учебники

• Иродов И. Е. Механика. Основные законы. М.:
БИНОМ. Лаборатория знаний. 2005
• Иродов И. Е. Физика макросистем. Основные
законы. М.: БИНОМ. Лаборатория знаний. 2004
• Иродов И. Е. Электромагнетизм. Основные законы.
М.: БИНОМ. Лаборатория знаний. 2006
• Иродов И. Е. Волновые процессы. Основные
законы. М.: БИНОМ. Лаборатория знаний. 2007
• Иродов И. Е. Квантовая физика. Основные законы.
М.: БИНОМ. Лаборатория знаний. 2004
• Иродов И.Е. Задачи по общей физике. М.: БИНОМ.
Лаборатория знаний. 2007

4. Учебные пособия

Юринов Александр Анатольевич
8- 921-308-26-97

5. Фундаментальная наука

6. Физическая картина мира

7. Фундаментальные частицы

8. 4 типа взаимодействий

9. Классическая механика

10.

11. Пространство по Ньютону

12. Радиус-вектор. Метр.

13.

14. Цилиндрические и сферические координаты

15. Векторы и операции над ними.

16. Проекции вектора

17. Модуль. Сложение и вычитание.

18. Умножение на скаляр

19. Скалярное произведение

20.

Обозначение
скалярного
произведения без скобок и с жирной
точкой - только в печатном тексте. На
доске и в тетради - только способ со
скобками и стрелками над векторами.

21. Векторное произведение I

22. Векторное произведение II

English     Русский Правила