ВАРИАЦИЯ УПРАВЛЕНИЯ
Игольчатая вариация управления
Теорема
Алгоритм
Изменение задачи поиска максимума с помощью принципа Понтрягина в зависимости от граничных условий
Изменение задачи поиска максимума с помощью принципа Понтрягина в зависимости от граничных условий
Изменение задачи поиска максимума с помощью принципа Понтрягина в зависимости от граничных условий
Пример
Пример
Пример
383.94K
Категория: МатематикаМатематика

Вариация управления

1. ВАРИАЦИЯ УПРАВЛЕНИЯ

2. Игольчатая вариация управления

u t , t t 0 , , t1
~
u t
v, t ,

3.

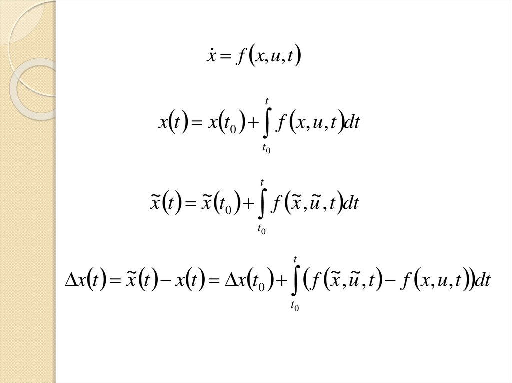
x f x, u, t
t
x t x t0 f x, u, t dt
t0
t
~
x t ~
x t0 f ~
x , u~, t dt
t0
t
x t ~
x t x t x t0 f ~
x , u~, t f x, u, t dt
t0

4.

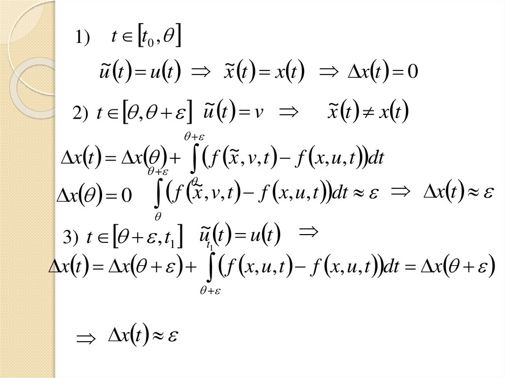
1)
t t0 ,
u~ t u t ~
x t x t x t 0
2) t , u~ t v
x t x
x 0
~
x t x t
~
f
x , v, t f x, u, t dt
~
f x , v, t f x, u, t dt
x t
~
3) t ,t1 ut1 t u t
x t x f x, u, t f x, u, t dt x
x t

5.

t1
J u u~ H ( x, , u, tdt 1 2 3
t0
t1
1
t0
u~ H ( x, , u~, t )
, x t dt o
x
t1
2 o x t dt o
t0
3 o1 x t1 o
t1
J u u~ H ( x, , u, tdt o
t0
J u v H ( x, , u, tdt o
J u v H x , , v, o

6.

u t -оптимальное управление
u~ t -допустимое управление
J u J u~ J u 0
J u v H x , , v, 0
0
v H x , , v, 0
v H x t , t , v, t 0
H x t , t , v, t H x t , t , u t , t
H x t , t , u t , t max H x t , t , v, t
v U

7. Теорема

,
ТЕОРЕМА
Принцип максимума Понтрягина
Пусть u* t , t t0 , t1 является оптимальным управлением простейшей
задачи
x f x, u, t , t t0 , t1 , u t U
x t0 x0
min J u min x t1
u U
при этом
и * t
x* t
u U
соответствующая оптимальному управлению траектория
является решением системы уравнений
H x , , u , t
x
x t1
t1
x
тогда выполняется условие максимума
H x* t , * t , u* t , t max H x* t , * t , u t , t
u U

8. Алгоритм

АЛГОРИТМ
Строится H x, , u x, , t , t t , f x, u, t
H x* t , * t , u* t , t max H x* t , * t , u t , t
получаем u u x, , t
u U
Находим решение системы
x f x, u , t
x t0 x0
H x , , u , t
x
x t1
t1
x
Подставляем найденные
x t t
в
u u x, , t

9. Изменение задачи поиска максимума с помощью принципа Понтрягина в зависимости от граничных условий

1) Рассмотренная задача
x f x, u, t , t t0 , t1 , u t U
x t0 x0
Терминальная задача управления с фиксированным
правым концом
min J u min x t1
u U
u U

10. Изменение задачи поиска максимума с помощью принципа Понтрягина в зависимости от граничных условий

2) Ограничение на правый конец
x f x, u, t , t t0 , t1 , u t U
x t0 x0
Терминальная задача управления отрезками на конец
траектории
gi x t 0, i 1, n
min J u min x t1
u U
g x t
x t1 n
t1 0
i i 1
x
x
i 1
u U

11. Изменение задачи поиска максимума с помощью принципа Понтрягина в зависимости от граничных условий

3) Ограничение на левый конец
x f x, u, t , t t0 , t1 , u t U
x t0 x0
Терминальная задача управления отрезками на конец
траектории
h j x t0
x t1 m
t1 0
j
x
x
j 1
h j x t 0, j 1, m
min J u min x t1
u U
u U

12. Пример

Требуется минимизировать функционал
English     Русский Правила