КИНЕМАТИКА ТВЕРДОГО ТЕЛА
Твердое тело
ВРАЩАТЕЛЬНОЕ ДВИЖЕНИЕ ТВЕРДОГО ТЕЛА ВОКРУГ НЕПОДВИЖНОЙ ОСИ
Угол поворота
Угол поворота
Единицы измерения угла поворота
Угловая скорость
Единицы измерения
ПЕРИОД ВРАЩЕНИЯ
Связь между угловой скоростью и линейной
Угловое ускорение
Тангенциальное ускорение
Нормальное ускорение
Момент инерции материальной точки
МОМЕНТ ИНЕРЦИИ СИСТЕМЫ МАТЕРИАЛЬНЫХ ТОЧЕК
ПРИМЕР
МОМЕНТ ИНЕРЦИИ ДИСКА массой M и радиуса R
Момент инерции тонкого стержня массы M и длиной L относительно оси, проходящей через его центр
Моменты инерции некоторых тел
ТЕОРЕМА ШТЕЙНЕРА
Момент инерции тонкого стержня относительно оси, проходящей через край стержня, перпендикулярно ему
КИНЕТИЧЕСКАЯ ЭНЕРГИЯ ВРАЩЕНИЯ
ПРИМЕР
454.21K
Категория: ФизикаФизика

Кинематика твердого тела

1. КИНЕМАТИКА ТВЕРДОГО ТЕЛА

2.

• Любое движение тела можно представить
как сумму поступательного движения и
вращательного движения вокруг
неподвижной оси

3. Твердое тело

• - расстояние между двумя любыми точками
которого не меняется в процессе движения

4.

• Поступательное движение – при котором
любая прямая, проведенная через
произвольные точки тела перемещается
параллельно самой себе.

5.

6.

• При этом все точки тела за одинаковые
промежутки времени совершают
одинаковые перемещения
• Скорости и ускорения всех точек твердого
тела одинаковы

7. ВРАЩАТЕЛЬНОЕ ДВИЖЕНИЕ ТВЕРДОГО ТЕЛА ВОКРУГ НЕПОДВИЖНОЙ ОСИ

8.

• Движение, при котором все точки тела
движутся по окружности, центры которых
лежат на одной прямой, называемой осью
вращения.

9.

10.

V1
V2
V1 V2

11.

12. Угол поворота

1
Δφ
2
Псевдовектор – вектор, модуль которого
равен углу поворота, а направление
определяется правилом правого винта

13. Угол поворота

2
Δφ
1

14. Единицы измерения угла поворота

• радиан
R
1рад
R
R
• Радиан- центральный угол , опирающийся
на длину дуги радиуса R

15.

R
1рад
2R
0,5R
0,5 рад
R
рад
2 рад

16.

• Если точка совершит полный оборот 360
градусов
2 R
R
2
360 2
180

17. Угловая скорость

d
• Вектор, направленный
lim
по оси вращения в ту
t 0 t
dt
же сторону, что и угол
поворота
2
Δφ
1

18. Единицы измерения

d
рад
dt
с

19. ПЕРИОД ВРАЩЕНИЯ

• Время, за которое точка совершает полный оборот,
т.е поворачивается на угол 2π
2
t
T
T
2

20. Связь между угловой скоростью и линейной

dr Rd
V
R V
dt
dt
R
dr
dr Rd

R- радиус окружности

21. Угловое ускорение

d d
2
dt dt
2

22.

• При ускоренном движении
направление вектора углового
ускорения совпадает с направлением
угловой скорости
d
0
dt
2

1

23.

• При замедленном движении
направление вектора углового
ускорения направлено
противоположно угловой скорости
d
0
dt
2

1

24. Тангенциальное ускорение

• Направлено по касательной
• к окружности
dV
V R
a
dt
d ( R)
d
R
a
R a
dt
dt

25. Нормальное ускорение

• Направлено к центру окружности
V
R
an
R
R
2
2
2
R an
2

26. Момент инерции материальной точки

m
J mr
r
r- расстояние до оси
вращения
2

27. МОМЕНТ ИНЕРЦИИ СИСТЕМЫ МАТЕРИАЛЬНЫХ ТОЧЕК

• Для системы
материальных точек
• mi- масса i
материальной точки
• ri – расстояние от i
материальной точки
до оси вращения
J mi ri
i
2

28.

• Для непрерывного
распределения массы
J r dm
2

29. ПРИМЕР

• МОМЕНТ ИНЕРЦИИ ТОНКОГО КОЛЬЦА,
относительно оси, проходящей через его
центр (масса кольца m, радиус R)
dm
R
R
J r dm
2
R dm
2
R dm
2
mR
2

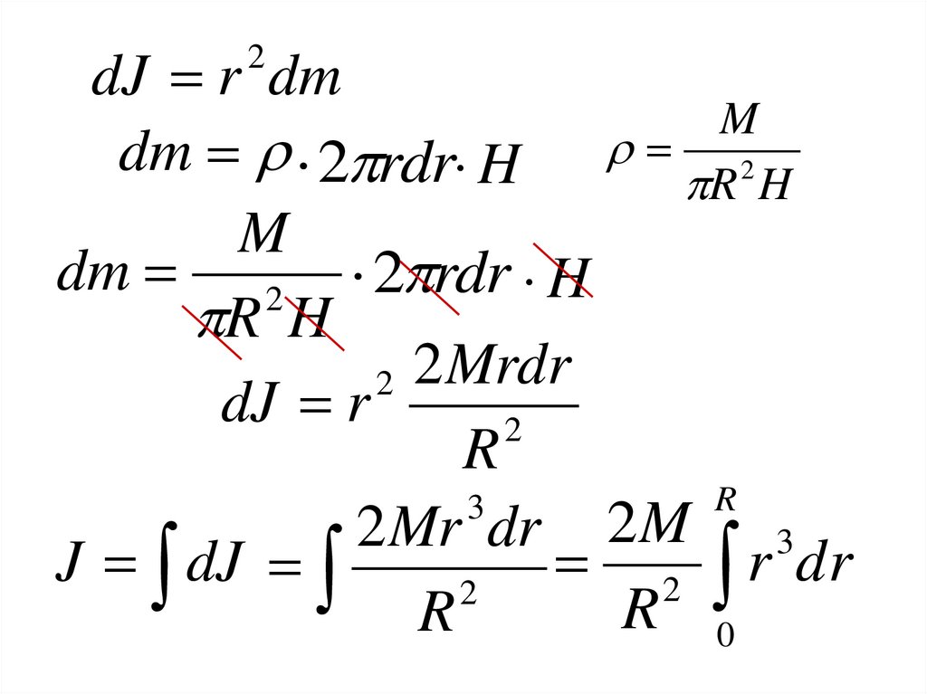
30. МОМЕНТ ИНЕРЦИИ ДИСКА массой M и радиуса R

dr
r
J dJ
dJ r dm
2
R
Момент инерции тонкого колечка
Найдем массу тонкого колечка радиуса r и толщиной dr

31.

Пусть плотность материала диска ρ
M
V
Масса всего диска M
Объем диска V
V R H
2
M
2
R H
Толщина диска H
dm dV
- Масса тонкого кольца
dm HdS
dS -площадь тонкого кольца
2πr
dr
dS 2 rdr

32.

dJ r dm
M
dm 2 rdr H R 2 H
M
dm 2 2 rdr H
R H
2 2 Mrdr
dJ r
2
R
R
3
2 Mr dr 2M 3
r
d
r
J dJ
2
2
R 0
R
2

33.

4 R
4
2M r
2
M
R
J 2
2
R 4 0
R
4
MR
2
2
J

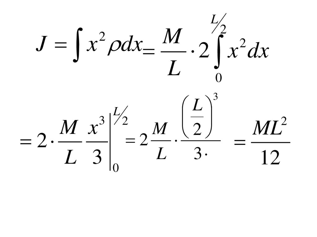
34. Момент инерции тонкого стержня массы M и длиной L относительно оси, проходящей через его центр

J x dm
2
x
dx
L
dm
Пусть линейная плотность стержня ρ
dm dx
M
L

35.

L
2
M
2
J x dx
2 x dx
L
0
2
3
L
M x
2
L 3 0
L
2
M 2
2
L
3
3
2
ML
12

36. Моменты инерции некоторых тел

37. ТЕОРЕМА ШТЕЙНЕРА

• Позволяет найти момент инерции
относительно оси, которая параллельна
оси, проходящей через центр масс
А
С
a
JC
JA
J A J C Ma
2

38. Момент инерции тонкого стержня относительно оси, проходящей через край стержня, перпендикулярно ему

JC
JA
С
L
2
ML
JA
3
А
J A J C Ma
2
2
L
ML
JC
a
2
12
2
2
2
ML
ML ML
JA
3
4
12

39. КИНЕТИЧЕСКАЯ ЭНЕРГИЯ ВРАЩЕНИЯ

• Разобьем вращающееся тело на маленькие объемы mi,
находящиеся на расстоянии ri от оси вращения
r1
m1
r2
m2
r3
m3

40.

• Центры окружностей лежат на оси вращения (по
определению)
• Угловая скорость вращения этих объемов
одинакова, а линейная - различна
V1 V2
r1
r2

41.

• Кинетическая энергия вращающегося тела
miVi
mV
mV
Tвр
2
2
2
i
2
1 1
2
2 2
2
Vi ri
2
mi ri 2 2
J T
2
вр
Tвр
mi ri
2
2
2 i
i
2
J – момент инерции тела

42.

• В случае плоского движения твердого тела
кинетическая энергия складывается из
кинетической энергии поступательного
движения и кинетической энергии
вращательного движения
mV
J C
T
2
2
2
C
2
VC- скорость поступательного
движения центра масс
JC- Момент инерции тела относительно оси,
проходящей через центр масс

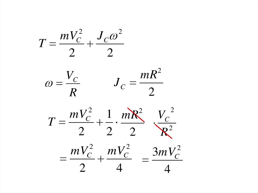
43. ПРИМЕР

• Найдем кинетическую энергию катящегося
цилиндра (m)
R
VC

44.

mV
J C
T
2
2
2
C
2
mR 2
JC
2
VC
R
2
C
mV
1 mR
T
2
2 2
2
C
2
C
mV
mV
2
4
2
2
VC
2
R
2
C
3mV
4
English     Русский Правила