3. Классы интегрируемых функций
Повторим
1. Универсальная тригонометрическая подстановка
2. Интегрирование выражений вида
Таблица тригонометрических подстановок
Таблица тригонометрических подстановок
3. Интегрирование выражений вида
4. Интегрирование выражений вида
5. Интегрирование выражений вида
Пример
Пример
Пример
4. Неберущиеся интегралы
391.15K
Категория: МатематикаМатематика

5л_Интегрирование триг функций

1. 3. Классы интегрируемых функций

Интегральное исчисление
3. Классы интегрируемых
функций
3.3. Интегрирование
тригонометрических функций

2. Повторим

sin t cos t 1
Повторим
1
tg t 1
2
cos t
1 sin t cos t
1
2
1 tg t
2
cos t
sin 2t 2 sin t cos t
cos 2t cos t sin t
2
2
2
2
2
2
x
x
x
2tg
sin
2tg
x
x
x
2 cos 2
2
2
sin x 2 sin cos 2
1
x
2
2
2
2 x
cos
1 tg
2
2
2 x
cos
2
x
2
2 x
sin
1 tg
x
x
x
2
2
cos x cos 2 sin 2 cos 2 1
2
2
2 cos 2 x 1 tg 2 x
2
2
2

3. 1. Универсальная тригонометрическая подстановка

R(sin x; cos x)dx
x
tg t
2
R – дробно-рациональная функция
x 2arctgt
2t
sin x
1 t2
x
2tg
2
sin x
2 x
1 tg
2
2
dx
dt
2
1 t
1 t 2
cos x
1 t 2
x
2
cos x
2 x
1 tg
2
1 tg 2

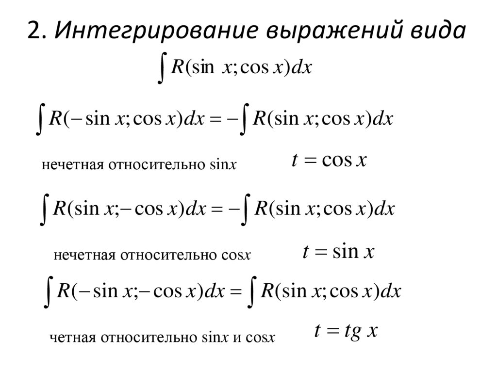
4. 2. Интегрирование выражений вида

R(sin x; cos x)dx
R( sin x; cos x)dx R(sin x; cos x)dx
нечетная относительно sinx
t cos x
R(sin x; cos x)dx R(sin x; cos x)dx
нечетная относительно соsx
t sin x
R( sin x; cos x)dx R(sin x; cos x)dx
четная относительно sinx и соsx
t tg x

5. Таблица тригонометрических подстановок

t
dt
sinx
cosx
tgx
x
dx
1
cosx
t
2
sinx
3
tgx
1
tg x 1
cos 2 x
2
t
1
t
1 t
2
1 t
2
1
cos x 2
tg x 1
2
t
sin x
tgx
cos x

6. Таблица тригонометрических подстановок

t
1
dt
cosx sin xdx
2
sinx
3
tgx
cos xdx
dx
cos 2 x
sinx
1 t
2
cosx
tgx
t
1 t 2
t
t
1 t 2
t
1
1 t
2
1 t
x
dx
arccost
dt
dt
t
1 t
2
t
1 t 2
2
arcsint
1 t 2
arctgt
dt
1 t 2

7. 3. Интегрирование выражений вида

sin
x
cos
xdx
,
m
Z
,
n
Z
n
m
Если m = 2k + 1 (нечетное), m > 0, то удобнее сделать подстановку
sin x = t. sin n x cos 2 k x cos xdx sin n x (1 sin 2 x) k cos xdx
Если n = 2k + 1 (нечетное), n > 0, то удобнее сделать подстановку
cos x = t. sin 2 k x cos m x sin xdx
2
k
m
(1 sin x) cos x sin xdx
Если обе степени m, n четные и положительные, то используем
формулы понижения степени
1
sin x (1 cos 2 x)
2
2
1
cos x (1 cos 2 x)
2
2
Если обе степени m, n отрицательны и их сумма четная, то
выполняем подстановку tg x = t (или сtg x = t)

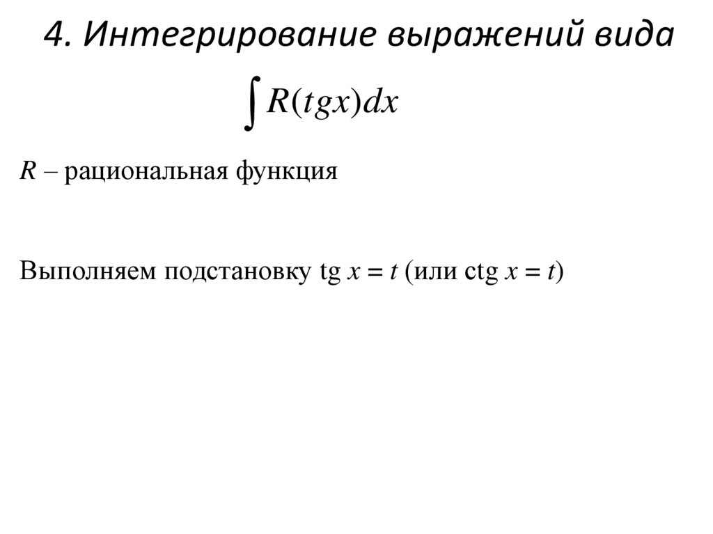
8. 4. Интегрирование выражений вида

R(tgx)dx
R – рациональная функция
Выполняем подстановку tg x = t (или сtg x = t)

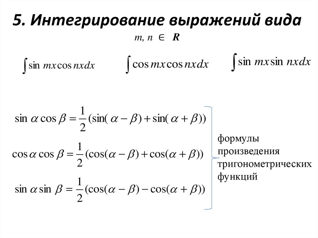
9. 5. Интегрирование выражений вида

m, n ∈ R
sin mx cos nxdx
cos mx cos nxdx
1
sin cos (sin( ) sin( ))
2
1
cos cos (cos( ) cos( ))
2
1
sin sin (cos( ) cos( ))
2
sin mxsin nxdx
формулы
произведения
тригонометрических
функций

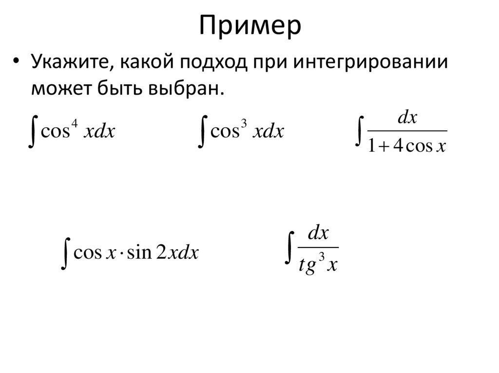
10. Пример

• Укажите, какой подход при интегрировании
может быть выбран.
cos xdx
4
dx
1 4 cos x
cos xdx
cos x sin 2 xdx
3
dx
tg 3 x

11. Пример

• Укажите, какой подход при интегрировании
может быть выбран.
cos xdx
4
1
cos x (1 cos 2 x)
2
2
cos xdx
dx
1 4 cos x
t sin x
x
tg t
2
3
t tg x
sin cos
cos x sin 2 xdx
dx
tg 3 x
1
(sin( ) sin( ))
2
t tg x

12. Пример

dx
sin xdx
d (cos x)
1 1 cos x
sin x sin 2 x 1 cos 2 x 2 ln 1 cos x C
1 cos x
ln
C
1 cos x
x
tg t
2
2
dx
dt
2
1 t
2t
sin x
1 t2
dx
2dt
dt
x
sin x 2 2t t ln | tg 2 | C
(1 t )
1 t 2

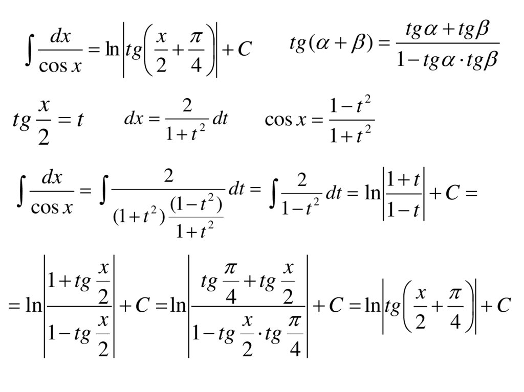
13.

dx
x
cos x ln tg 2 4 C
x
tg t
2
2
dx
dt
2
1 t
tg tg
tg ( )
1 tg tg
1 t 2
cos x
2
1 t
2
dx
1 t
2
dt
cos x 2 (1 t 2 ) 1 t 2 dt ln 1 t C
(1 t )
1 t 2
x
x
1 tg
tg tg
x
2
4
2
ln
C ln
C ln tg C
x
x
2 4
1 tg
1 tg tg
2
2
4

14. 4. Неберущиеся интегралы

Интегральное исчисление
4. Неберущиеся интегралы

15.

• Если интеграл не выражается через
конечное число элементарных функций, то
такой интеграл называют «неберущимся»,
т.е. его нельзя найти («взять») в виде
элементарной функции.

16.

• Примеры неберущихся интегралов
(неэлементарные специальные функции,
которые затабулированы):
English     Русский Правила