Проверка ДЗ:
Домашнее задание
209.52K
Категория: МатематикаМатематика

Часть 2

1.

Простейшие
дифференциальные
уравнения 2 порядка

2.

1. Какое уравнение называется линейным ДУ первого
порядка?
y P x y Q x
2. При каких условиях линейное ДУ первого порядка
называется однородным?
Q x 0
3. К какому ДУ приводится линейное однородное
уравнение ?
ДУ с разделяющимися переменными
4. Каким методом решается линейное неоднородное ДУ ?
Метод Бернулли
5. В чем заключается метод Бернулли?
В замене y UV

3. Проверка ДЗ:

yy 2 0 y 0 2
dy
y 2 0
dx
dy
y 2 dx
dx
y 2 4 x C
y 4x C
ydy 2dx
2 4 0 C
C 4
ydy 2dx
y 4x 4
y2
2 x C
2
2
y 4 4x
y 2 1 x.

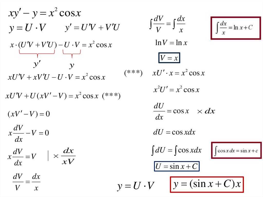
4.

2
xy y x cos x
y U V V U
y U V
dV
dx
V x
ln V ln x
x (U V V U ) U V x 2 cos x
V x
y
y
xU V xV U U V x 2 cos x
(* * *)
xU V U ( xV V ) x 2 cos x (* * *)
xU x x 2 cos x
x 2U x 2 cos x
dU
cos x dx
dx
( xV V ) 0
x
dV
V 0
dx
dV
x
V
dx
dV dx
V
x
dU cos xdx
dx
xV
dU cos xdx
U sin x C
y U V
y (sin x C ) x

5.

Простейшие ДУ второго порядка
Общий вид:
y f x
Алгоритм решения:
y f ( x )dx
y F x C1
y Ф(F( x )) C1x C 2 общее решение
Пример 1: Найдите общее решение дифференциального уравнения y sin 2 x
y sin 2 x
1
sin kxdx k cos kx C
1
1
cos
kxdx
sin kx C
y sin 2 xdx cos 2 x C1
k
2
1 1
1
1
y cos 2 x C1 sin 2 x C1 x C2 sin 2 x C1 x C2
2 2
4
2
1
y sin 2 x C1 x C2
4

6.

Простейшие ДУ второго порядка
Пример 2. Найдите частное решение дифференциального уравнения y 18 x 2
если y=3 при х=0 и y=9 при х=1.
y 18 x 2
y 18 x 2 dx 9 x 2 2 x C1
y 9 x 2 2 x C1 dx 3x 3 x 2 C1 x C2
y 3x 3 x 2 C1 x C2 общее решение
x 0 и y 3 3 3 0 0 C1 0 C2 C2 3
x 1 и y 9 9 3 1 C1 3 C1 2
y 3x 3 x 2 2 x 3 частное решение

7.

Простейшие ДУ второго порядка
Пример 3. Найдите общее решение дифференциального уравнения y 4e 2 x
y 4e 2 x
1
y 4 e 2 x С1 2e 2 x С1
2
1
y 2 e 2 x С1 x C 2 e 2 x С1 x C 2
2
1 kx
e dx k e C
kx
Пример 4. Найдите общее решение дифференциального уравнения y 2 cos
x
4
x
x
y 2 4 sin С1 8 sin С1
4
4
y 2 cos
y 8 4 cos
x
x
С1 x C 2 32 cos С1 x C 2
4
4
1
sin
kxdx
cos kx C
k
1
cos
kxdx
sin kx C
k
x
4

8. Домашнее задание

Решите уравнения:
1.
y 36 x 12
Ответ:
y 6 x 3 6 x 2 C1 x C2
2.
y cos x
Ответ:
y cos x C1 x C2
3.
x
y y e
Ответ:
y ( x С) e x
В процессе решения используйте переход: если ln V x , то V e x
English     Русский Правила