406.38K

8 КЛ ПОДГ

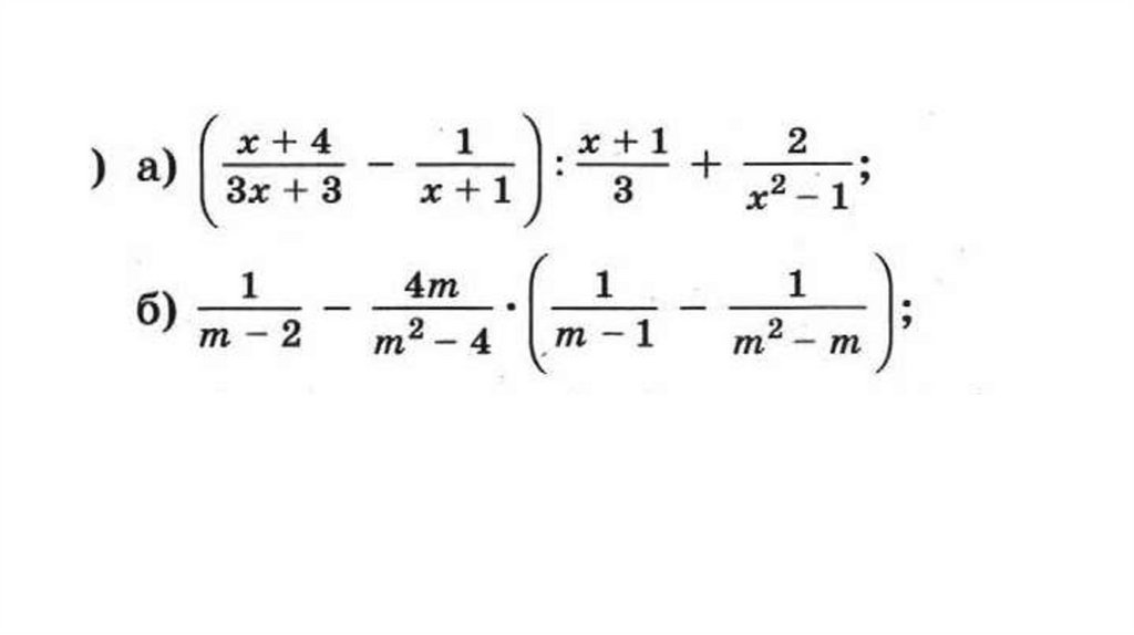
1.

2.

3.

4.

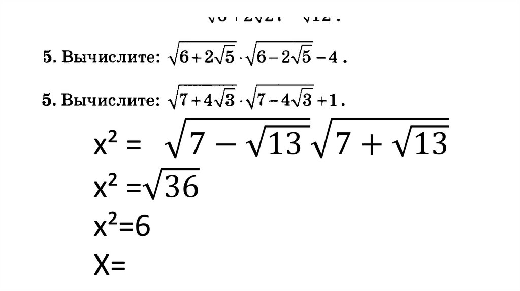
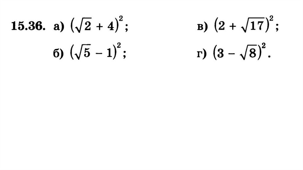
5.

6.

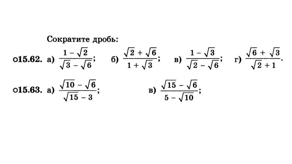
7.

х² = 7 − 13 7 + 13
х² = 36
х²=6
Х=

8.

9.

10.

11.

ОДЗ: х²+6х=0
Х(х+6)=0
Х=0 и х+6=0
х=-6
English     Русский Правила