1.95M
Категория:
Математика
Похожие презентации:
Алгебраические дроби. Сокращение алгебраических дробей
Алгебраическая дробь. Сокращение дробей
Алгебраическая дробь. Сокращение дробей
Сокращение алгебраических дробей
Алгебраические дроби, сокращение дробей
Сокращение алгебраических дробей
Сокращение алгебраических дробей
Алгебраические дроби, сокращение дробей
Алгебраические дроби, сокращение дробей
Сокращение алгебраических дробей
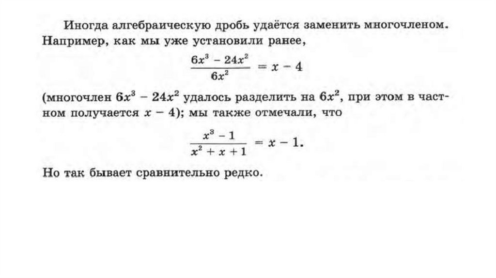
Сокращение алгебраических дробей. Тема 35
1.
2.
3.
4.
5.
6.
7.
8.
9.
10.
11.
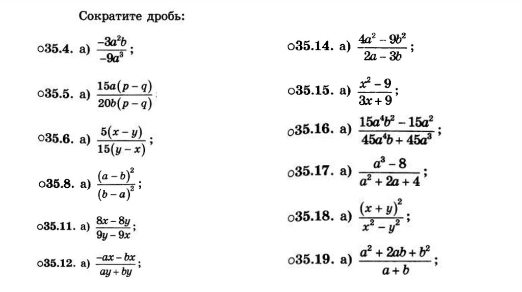
Домашнее задание: п.35 №4,5,6,8,11,12,14,15,17,18,19 везде (в)
English
Русский
Правила