3.24M
Категория:
Математика
Похожие презентации:
Производная функции одной переменной. Лекция №11
Непрерывность функции одной переменной
Непрерывные функции одной и двух переменных
Предел функции. Непрерывность функций одной переменной
Производная. Функции одной переменной. (Тема 3)
Предел и непрерывность функции одной переменной
Непрерывность функции одной переменной. Точки разрыва функции и их классификация
Производные функции одной и нескольких переменных
Дифференциальное исчисление функции одной переменной. Производная функции
Функции одной переменной
Непрерывность функции одной переменной. Производная функции. Лекция 11
1.
МАТЕМАТИКА
1 СЕМЕСТР
ЛЕКЦИЯ 11
Лектор
Шестакова Ирина Александровна
i.a.shestakova@urfu.ru
2.
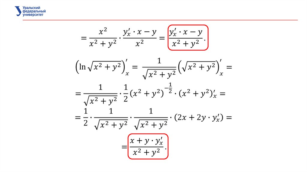
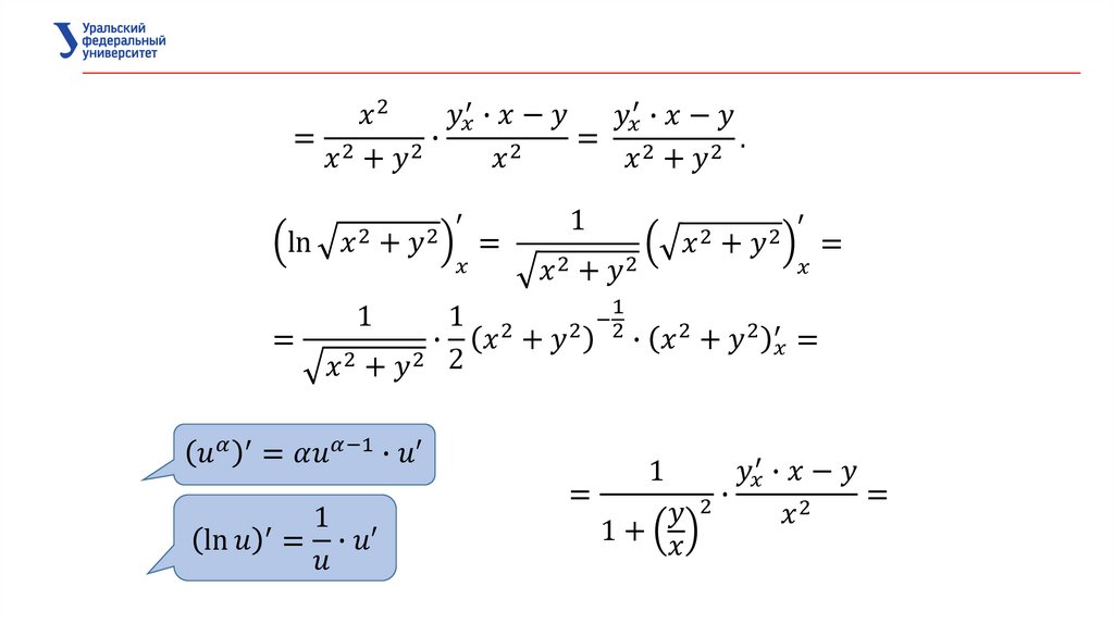
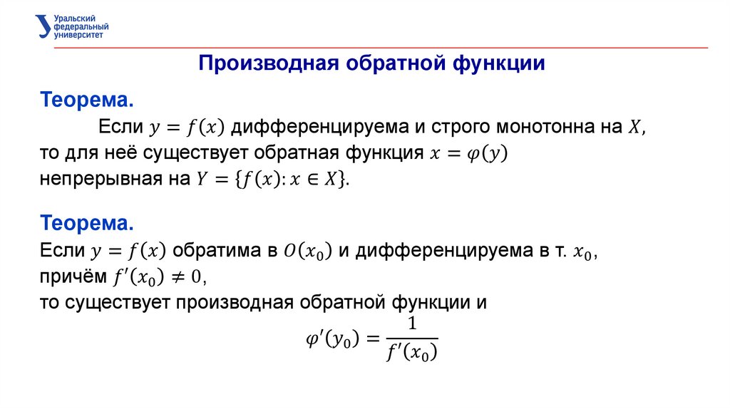
Лекция 11
Непрерывность функции одной переменной.
Производная функции.
3.
Непрерывность функции в точке и на множестве
Пусть
English
Русский
Правила