806.83K
Категория: ХимияХимия

Двухосновные карбоновые кислоты и их производные

1.

Лекция 19.10.2024
Двухосновные карбоновые
кислоты и их производные
Лектор Ибрагимов Ш.Н.

2.

Гомологический ряд двухосновных карбоновых кислот:
HOOC – COOH –щавелевая или этандиовая (С2);
HOOC – CH2 – COOH –малоновая или пропандиовая (С3);
HOOC – (CH2)2 – COOH -янтарная или бутандиовая (С4);
HOOC – (CH2)3 – COOH -глутаровая или пентандиовая (С5);
HOOC – (CH2)4 – COOH -адипиновая или гександиовая (С6);
HOOC–C6H4–COOH -фталевые кислоты (орто-, мета-, пара-).

3.

Получение двухосновных карбоновых кислот
1. Через реакции окисления.
а) Окисление двупервичных гликолей.
Например,
этиленгликоль
(этандиол-1,2)
последовательно
окисляется
в
диальдегид - этандиаль, затем в этандиовую (щавелевую) кислоту:
HOCH2CH2OH
[O], катализ.
- H2O
H(O)CC(O)H
этандиаль
[O], катализ.
- H2O
HOOCCOOH
этандиовая кислота
Аналогично, пропандиол-1,3 окисляется в пропандиаль, а затем в пропандиовую
(малоновую) кислоту:

4.

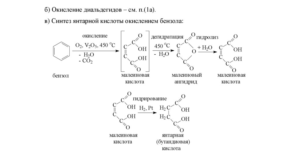
б) Окисление диальдегидов – см. п.(1а).
в) Синтез янтарной кислоты окислением бензола:
окисление
бензол
O
O2, V2O5, 450 oC
C
- H2O
- CO2
C
C
o
OH
C
OH
O
малеиновая
кислота
O
дегидратация
450 C
- H2O
C
C
O
C
+ H2O
C
O
малеиновый
ангидрид
O
гидрирование
C
C
OH H2, Pt H2 C
OH
C
OH
H2 C
OH
C
C
O
O
малеиновая
янтарная
кислота
(бутандиовая)
кислота
C
O гидролиз
O
C
C
OH
C
C
OH
O
малеиновая
кислота

5.

г) Синтез фталевых кислот.
Окислением
нафталина
получают
ортофталевую
кислоту.
Окислением
ортоксилола, метаксилола, параксилола получают орто-, мета- и терефталевую
кислоты, например:

6.

д) Окисление циклических кетонов.
Глутаровую кислоту получают окислением циклопентанона. Адипиновую
кислоту получают окислением циклогексанона. Например, промышленный способ:
OH
OH
O
O
C OH
H2C C OH
H2C CHO
2
H2C

7.

2. Через динитрилы.
Последовательность реакций промышленного способа получения малоновой
кислоты: Хлорирование уксусной кислоты в монохлоруксусную – реакция с цианидами
– гидролиз динитрила в малоновую кислоту:
CH3-COOH
Cl2, Pкрасн
-HCl
Cl-CH2COOH
KCN
-KCl
N C-CH2COOH
H2O
-NH3
HOOCCH2COOH
Последовательность аналогичных реакций промышленного способа получения
янтарной кислоты: Этилен – 1,2-дихлорэтан – бутандинитрил – янтарная кислота:
Глутаровую кислоту в промышленности получают по той же схеме, исходное
соединение - 1,3-дибромпропан.

8.

Химические свойства двухосновных карбоновых кислот
По сравнению с монокарбоновыми кислотами – двухосновные являются более
сильными кислотами. Сказывается взаимное влияние двух карбоксильных групп,
которые обладают сильным –Jиндукт(COOH) эффектом. Они взаимно понижают
отрицательный, σ- заряд, что ослабляет связь протона в СООН группе и облегчает
диссоциацию.
Двухосновные
карбоновые
кислоты
образуют
те
же
функциональные
производные, что и монокарбоновые кислоты. Например, образуют кислые и
нейтральные соли; полные и неполные эфиры и амиды; хлорангидриды; подвергаются
α-галогенированию в присутствии красного фосфора.

9.

10.

Наличие в их молекулах двух карбоксильных групп позволяет получать полимеры
- полиэфирные и полиамидные смолы.
Глифталевые полиэфирные смолы получают конденсацией фталевой кислоты
(или фталевого ангидрида) с глицерином:
HO(O)C
C(O)OH
n.
+
n.HO
CH CH2
OH
- H2O
OH
глицерин
фталевая кислота
(O)C
CH2
поликонденсация
(реакция этерификации)
C(O)
O
CH2
CH CH2
O
OH
глифталевая смола
n
Полиэфирную смолу - полиэтилентерефталат (лавсан) получают аналогичной
реакцией этерификации этиленгликолем терефталевой (парафталевой) кислоты.

11.

Полиамидную смолу - найлон-6,6 получают реакцией амидирования адипиновой
(С6) кислоты гексаметилендиамином:
n·HO(O)C(CH2)4C(O)OH + n·H2N(CH2)6NH2 →
→ –[–(O)C(CH2)4C(O)–HN(CH2)6NH–]n–

12.

Специфические свойства дикарбоновых кислот
При
нагревании
этандиовой
или
пропандиовой
кислот
происходит
декарбоксилирование кислот. Сказывается сильное взаимное влияние двух близко
расположенных электроотрицательных карбоксильных групп.
o
T C
HOOCCOOH
HCOOH
-CO2
щавелевая (этандиовая) муравьиная (метановая)
кислота
кислота
o
T C
HOOCCH2COOH
CH3COOH
-CO2
малоновая (пропандиовая) уксусная (этановая)
кислота
кислота

13.

В случае янтарной (С4), глутаровой (С5), малеиновой (С4), ортофталевой кислот
при нагревании происходит циклодегидратация с образованием 5 и 6 членных
циклических продуктов, ангидридов соответствующих кислот, например:
English     Русский Правила