Комплексные числа
Комплексным числом называется выражение вида
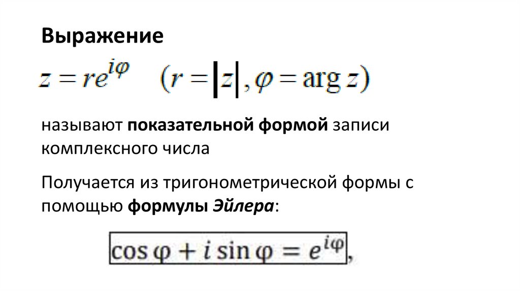
Выражения формы записи комплексных чисел
Операции над комплексными числами, записанными в алгебраической форме
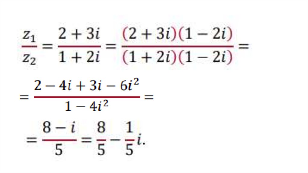
Примеры. Арифметические операции
Арифметические операции над комплексными числами в алгебраической форме
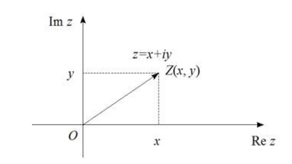
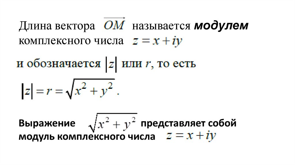
Изображение комплексных чисел на плоскости
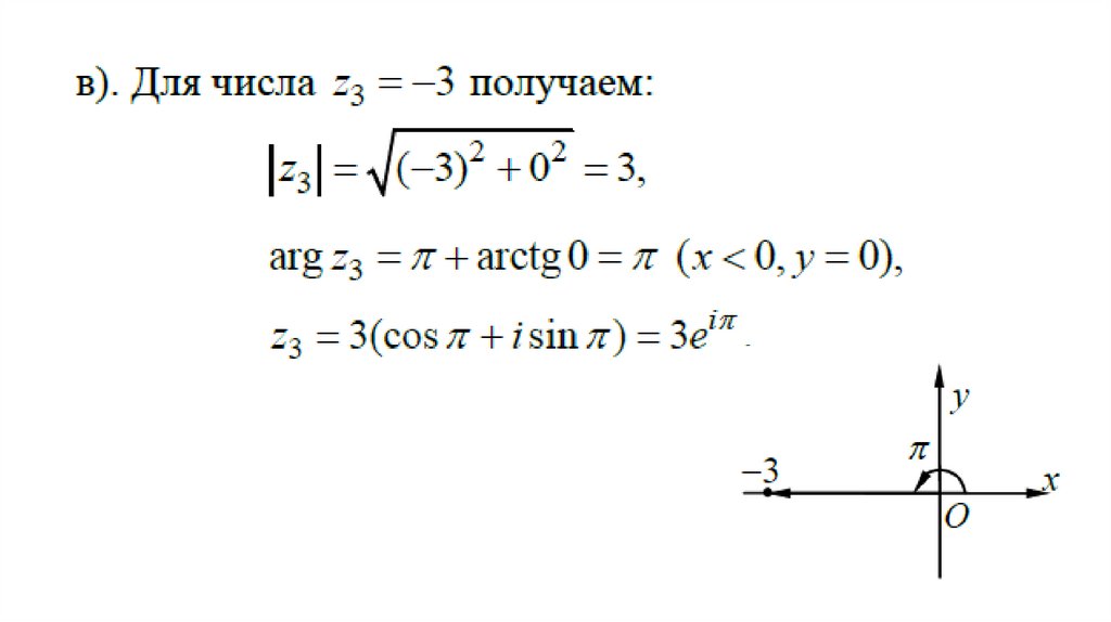
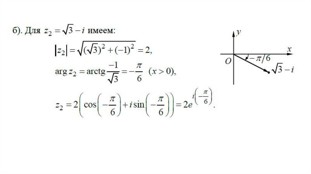
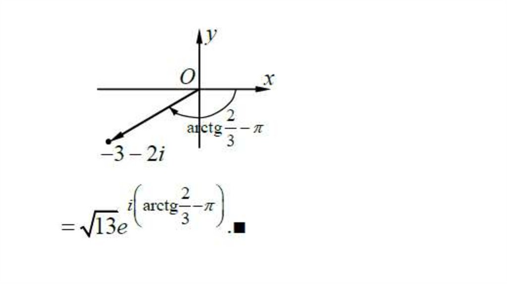
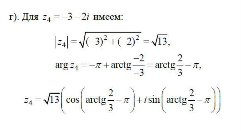
Пример.
851.15K

Лекция_15_Комплексные числа

1. Комплексные числа

2. Комплексным числом называется выражение вида

English     Русский Правила