Специальные главы математики
1.60M
Категория: МатематикаМатематика

Лекция 12(сгм)-25 Вычеты

1. Специальные главы математики

Лекция 12
Вычеты в ОТ.
Вычисление интегралов через вычеты.

2.

2

3.

Вычеты функции в ее особых точках
Вычетом функции f(z) в ее изолированной особой
точке z0 называется число
где γ+ − положительно ориентированная
граница окрестности точки z0, не содержащая других
особых точек функции (рис.)
Принято также другое обозначение вычета:
3

4.

Способы вычисления вычетов
1. Вычисление вычета через коэффициенты ряда
Лорана.
Разложим функцию f(z) в ряд Лорана в окрестности ее
особой точки z0, проинтегрируем по положительно
ориентированной окружности γ+ с центром в точке z0
и воспользуемся тем, что
4

5.

Таким образом, вычет функции f(z) в ее особой точке
z0 равен коэффициенту с−1 при 1/(z − z0) в разложении
функции f(z) в ряд Лорана в окрестности точки z0:
5

6.

Пример. Найти вычет в особой точке функции
6

7.

2. Вычет в устранимой особой точке.
В окрестности устранимой особой точки z0 ряд
Лорана функции не содержит отрицательных степеней
(z − z0), следовательно, с−1 = 0.
Таким образом, в устранимой особой точке
7

8.

3. Вычисление вычета в полюсе первого порядка.
Если z0 есть полюс первого порядка функции f(z), то
разложение функции в ряд Лорана в окрестности
точки z0 имеет вид:
Умножим это равенство на (z − z0):
Переходя к пределу при (z→ z0), получим:
т.е. в полюсе первого порядка
8

9.

4. Вычисление вычета функции
если
По условию, z0 является нулем порядка k = 0 функции
(z) и нулем порядка n = 1 функции (z), поэтому
точка z0 является полюсом порядка n − k = 1 функции
и для вычисления вычета этой функции можно
воспользоваться предыдущей формулой
Таким образом, если
то
9

10.

5. Вычисление вычета в полюсе k-го порядка.
Если z0 есть полюс k-го порядка функции f(z), то
разложение функции в ряд Лорана в окрестности
точки z0 имеет вид:
Умножим это равенство на (z − z0)k и
продифференцируем (k − 1) раз:
10

11.

Переходя к пределу при (z→ z0), получим
Таким образом, в полюсе k-го порядка
11

12.

Пример. Найти вычеты функции
особых точках.
в ее
12

13.

Об организации самостоятельной
работы студентов при изучении
дисциплины "Математический анализ" в
условиях модульно-рейтинговой
13

14.

Применение вычетов к вычислению интегралов
1.
Теорема 1. Пусть функция f(z) является аналитической
в
замкнутой
области
D
с
положительно
ориентированной границей L+ за исключением
изолированных особых точек z1, z2,…, zn, лежащих
внутри D. Тогда
14

15.

Следствие. Если функция f(z) является аналитической
всюду, кроме конечного множества особых точек
z1, z2,…, zn, , то сумма вычетов этой функции во всех
особых точках и вычета в бесконечности равна нулю,
т.е.
15

16.

Вычеты в точке бесконечность
Вычетом в бесконечно удаленной точке назовем
1
число, равное
Res f
f ( z )dz,
2 i
где γ ‒ окрестность точки бесконечность (окружность
большого радиуса), проходимая по часовой стрелке.
Res f c 1
16

17.

Классификация изолированной ОТ бесконечность
z = ∞ ‒ устранимая особая точка тогда и только тогда
lim f z - конечное число. В разложении f(z) в
z
окрестности бесконечности нет положительных
степеней.
z = ∞ ‒ полюс порядка k, если в разложении f(z) в
окрестности бесконечности k положительных
степеней.
z = ∞ ‒ СОТ, если в разложении f(z) в окрестности
бесконечности бесконечно много положительных
степеней.
17

18.

Пример. Проверить следствие для f ( z) 2 z
z 1
18

19.

Пример. Вычислить интеграл
19

20.

2.
(интеграл от ФДП)
Теорема 2. Пусть
1) функция f(x) совпадает с f(z) и непрерывна на (− ∞; + ∞)
2) функция f(z) является аналитической в верхней
полуплоскости, за исключением изолированных особых
точек z1, z2,…, zn,
3) существуют положительные числа М, R0, δ такие, что
при условии, что |z| = R ≥ R0,
Тогда
20

21.

Следствие. Пусть функция
есть
отношение двух многочленов (n − k > 1) и z1, z2,…, zN
есть нули знаменателя Qn(z), лежащие в верхней
полуплоскости. Тогда
21

22.

Пример. Вычислить
22

23.

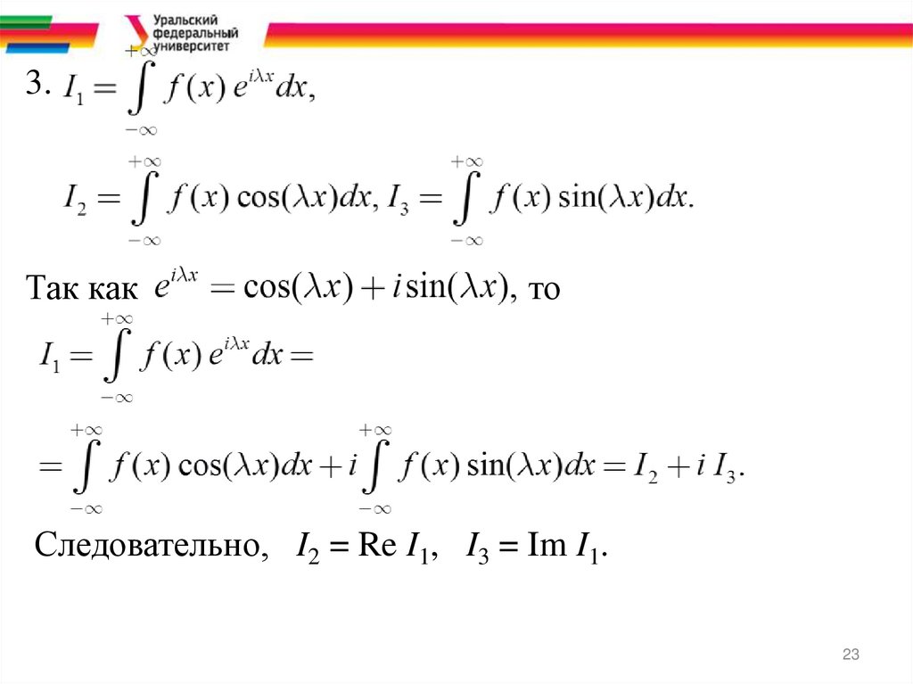
3.
Так как
то
Следовательно, I2 = Re I1, I3 = Im I1.
23

24.

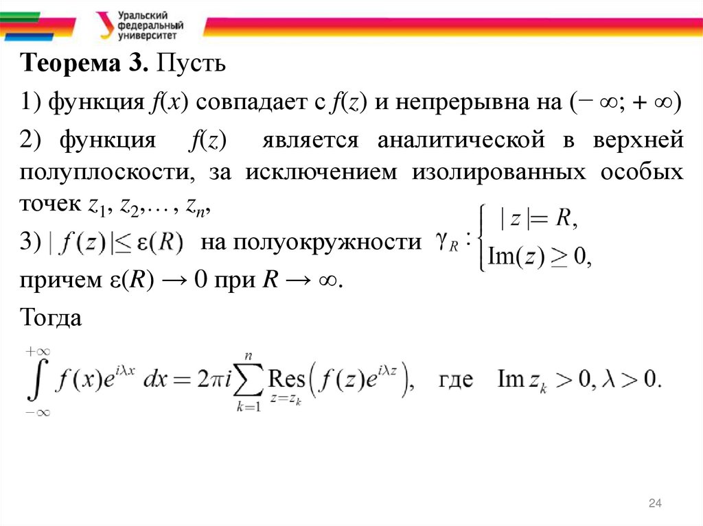
Теорема 3. Пусть
1) функция f(x) совпадает с f(z) и непрерывна на (− ∞; + ∞)
2) функция f(z) является аналитической в верхней
полуплоскости, за исключением изолированных особых
точек z1, z2,…, zn,
3)
на полуокружности
причем ε(R) → 0 при R → ∞.
Тогда
24

25.

Следствие. Пусть функция
есть
отношение двух многочленов , где k < n, и z1, z2,…, zN
есть нули знаменателя Qn(z), лежащие в верхней
полуплоскости.
Тогда
25

26.

Пример 1. Вычислить
26

27.

Пример 2. Вычислить
27

28.

Пример 3. Вычислить
28

29.

4.
(интеграл от ФДП)
Замена: eix = z. Тогда отрезок интегрирования [0; 2π]
отображается в окружность комплексной плоскости
|z| = 1, при этом
29

30.

Пример 1. Вычислить интеграл
30

31.

31

32.

Пример2. Вычислить интеграл
32

33.

33

34.

34
English     Русский Правила