Дифференциальное исчисление функций одной действительной переменной
Правила дифференцирования
Правила дифференцирования
Таблица производных
Производная сложной функции.
Дифференциал сложной функции
Производная обратной функции.
Логарифмическая производная
Производная показательно-степенной функции
Производная параметрически заданной функции
Производная неявно заданной функции
Производные высших порядков
Производные высших порядков от параметрически заданной функции
Дифференциалы высших порядков
Высшие дифференциалы не обладают свойством инвариантности формы
293.47K
Категория: МатематикаМатематика

Дифференциальное исчисление функций одной действительной переменной 11. Вычисление производных (продолжение)

1. Дифференциальное исчисление функций одной действительной переменной

11. Вычисление производных
(продолжение).
Производные высших порядков

2. Правила дифференцирования

• u=u(x), v=v(x) – дифференцируемые на (a; b)
функции, с – const
u v u v
u v u v u v
u u v u v
2
v
v
c u c u
u u
с
с
2

3. Правила дифференцирования

d (u v) du dv
d (u v) v du u dv
u v du u dv
d
2
v
v

4. Таблица производных

c 0 x nx
n
a a ln a
e e
x
x
1
log a x
x ln a
sin x cos x
1
tgx 2
cos x
1
arcsin x
1 x2
x 1 x 2 x
n 1
x
x
1
ln x
x
cos x sin x
1
ctgx 2
sin x
1
arctgx
1 x2
1
1
1
2
x
x
sh x ch x
ch x sh x
cth x
1
sh 2 x
arccos x
1
1 x2
1
arcctgx
1 x2

5. Производная сложной функции.

• Если функции y=f(u) и u=g(x) имеют
производные в точках u0=g(x0) и x0
соответственно, то сложная функция y=f(g(x))
имеет производную в точке x0, которая
находится по формуле: y x yu u x

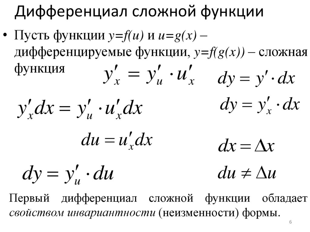
6. Дифференциал сложной функции

• Пусть функции y=f(u) и u=g(x) –
дифференцируемые функции, y=f(g(x)) – сложная
функция
y x yu u x
y x dx yu u x dx
du u x dx
dy yu du
dy y dx
dy y x dx
dx x
du u
Первый дифференциал сложной функции обладает
свойством инвариантности (неизменности) формы.
6

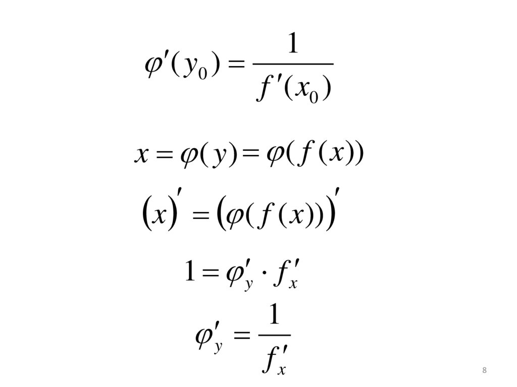
7. Производная обратной функции.

• Если функция y=f(x) строго монотонна на
интервале (a; b) и в произвольной точке х0
данного интервала имеет конечную отличную
от нуля производную (y/(х0)≠0), то обратная ей
функция x=f – 1(y)=φ(y) также имеет
производную х/ в соответствующей точке у0
(f(х0)= у0, φ(y0)= x0), причем
1
( y0 )
f ( x0 )
1
x y ( y )
y x ( x)
7

8.

1
( y0 )
f ( x0 )
x ( y ) ( f ( x))
x ( f ( x))
1 y f x
1
y
f x
8

9. Логарифмическая производная

1
ln f ( x) f ( x) f ( x)
f ( x) f ( x) ln f ( x)
x nx
n
n 1
f ( x) x ( x 0, R)
f ( x) ( x ) x (ln x ) x ( ln x)
1
x x 1
x
x x
1
9

10. Производная показательно-степенной функции

Производная показательностепенной функции
y u ( x)
v( x)
(u( x) 0)
ln y v( x) ln u ( x)
(ln y ) (v( x) ln u ( x) )
y
u ( x)
v ( x) ln u ( x) v( x)
y
u ( x)
u ( x)
v( x)
y u ( x) v ( x) ln u ( x) v( x)
u ( x)
ln y ln u( x)v ( x )
y u ln u v v u
v
v 1
u
10

11. Производная параметрически заданной функции

x (t ),
y
t
(
a
;
b
)
x ?
y (t ),
t ( x)
1
y (t ) ( ( x))
1
1
y x t ( ) x t
t
1
yt
y x
xt
11

12. Производная неявно заданной функции

Пусть у=f(х) – дифференцируемая функция переменной х.
F ( x; y ) 0
F ( x; f ( x)) 0
Дифференцируем по х обе части уравнения с учетом того,
что у – функция переменной х .
Fx ( x; y ) Fy ( x; y ) y x 0
Fx
y x
Fy
12

13. Производные высших порядков

y f (x) производная первого порядка
дифференцируемая функция
( y ) y производная второго порядка
d y d dy dy
y xx , f ( x), y ,
,
,
2
dx
dx dx dx
( n 1)
( n)
(y
) y производная п-го порядка
2
( 2)
13

14. Производные высших порядков от параметрически заданной функции

yt
x (t ),
t (a; b)
y x
xt
y (t ),
x (t ),
yt
y
y
(
t
)
x
x ) t xt t
(
y
y xx ( y x ) x ( y x ) t t x
xt
xt
yt xt xt yt
3
( xt )
14

15. Дифференциалы высших порядков

• Пусть y=f(х) – дифференцируемая функция
dy f ( x) dx
– дифференциал первого порядка
dy y dx
dx x h
d (dy ) d y d f – дифференциал второго порядка
2
2
d y d (dy ) d ( y h) ( y h) x y h x
2
d ( y ) h y d (h) ( y x) h y 0
d y y (dx) y dx
3
2
3
d y d (d y) y dx – дифференциал третьего порядка
2
d y d (d
n
2
2
n 1
(n)
y) y (dx) – дифференциал п-го порядка
n
15

16. Высшие дифференциалы не обладают свойством инвариантности формы

• y=f(g(x)) – сложная функция, u=g(x) – промежуточная
dy yu du
d y d (dy ) d ( yu du )
2
d ( yu ) du yu d (du ) yu du du yu d (du)
yu du yu d u
2
d y y x dx
2
2
2
2
d y
y x
2
dx
16
English     Русский Правила